11 svar
166 visningar
Wilm 6 – Fd. Medlem
Postad: 1 sep 2022 10:36

Linjär algebra

Jag testade att beräkna kryssprodukten mellan de båda vektorerna för att få en ortogonal vektor. När jag sedan skulle göra om denna vektor till en enhetsvektor blev svaret jättekonstigt. Har jag tänkte fel eller hur ska man tänka när man ska lösa uppgiften?

Laguna 31688
Postad: 1 sep 2022 10:37

Visa hur det blev konstigt.

Wilm 6 – Fd. Medlem
Postad: 1 sep 2022 10:49

Talet går inte att att ta roten ur om man inte vill ha det i decimaltal

Laguna 31688
Postad: 1 sep 2022 11:05

Stämmer kryssprodukten? Jag tycker den inte ser ut att vara ortogonal mot de givna vektorerna.

Wilm 6 – Fd. Medlem
Postad: 1 sep 2022 11:13

Räknade om kryssprodukten och fick (-3, 14, 30) men det gör ju ingen skillnad för enhetsvektorn

Laguna 31688
Postad: 1 sep 2022 11:47

Nej, då får det väl bli ett rottecken i svaret.

Wilm 6 – Fd. Medlem
Postad: 1 sep 2022 12:01

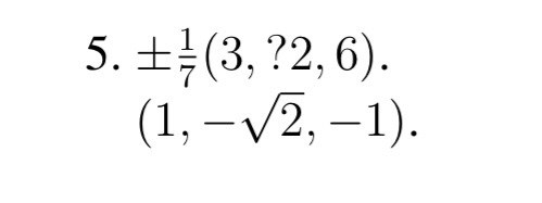
Detta är svaret i facit och det är jag rätt säker på att jag inte kommer att få om jag fullföljer uträkningen 

PATENTERAMERA 6907
Postad: 1 sep 2022 12:25

Är facits vektorer ortogonala mot de vektorer som nämns i problemet?

Laguna 31688
Postad: 1 sep 2022 12:38 Redigerad: 1 sep 2022 12:39

Hur ska man tolka facit? Vad betyder frågetecknet och vad menas med andra raden?

1/7 (3,2,6) är förvisso en enhetsvektor.

1/7 (3, -2, 6) är också det, så det kanske är ett trasigt minustecken.

 

Wilm 6 – Fd. Medlem
Postad: 2 sep 2022 12:13

Patenteramera: När jag testade facits vektorer med de som nämns i problemet verkar det bara vara den positiva enhetsvektorn som nämns i svaret som är ortogonal mot bägge vektorerna i problemet. 

Laguna: När det kommer till att tolka facit vet jag ärligt talat inte hur man sak göra. För det ändars hela tiden vilket känns omöjligt. När jag kollade facit imorse var det endast +- 1/7 (3, -2, 6) som var synligt men nu när jag kollade igen är det endast (1, -√2, -1) som står i facit. 

Laguna 31688
Postad: 2 sep 2022 12:48

Det är ju inte en enhetsvektor. Har de ändrat uppgiften också?

PATENTERAMERA 6907
Postad: 2 sep 2022 13:24 Redigerad: 2 sep 2022 13:54

Vad jag kan se så är ingen vektor i facit ortogonal mot någon av de givna vektorerna. Ditt svar verkar dock ge ortogonala vektorer.

Facit är också konstigt på formella grunder.

Om vi utgår från två vektorer u och v (i R3) så kan vi endast hitta två ortogonala enhetsvektorer om u och v är linjärt oberoende. Om u och v är linjärt beroende så finns det oändligt många enhetsvektorer som är ortogonala mot båda vektorerna.

Att ge ett svar som anger en vektor eller tre vektorer är därför nonsens. Notera att frågan specifikt frågar efter de båda enhetsvektorer som är ortogonala mot de givna vektorerna.

Svara
Close