Levina
Fd. Medlem
2 inlägg
Blev medlem: 16 maj 2020
Senast inloggad: 20 maj 2020
Medlemmen har på egen begäran stängt av sitt konto.
Trådar Levina deltar i
-
Försäljningspris Levina
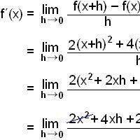
Matematik / Universitet4 svar Levina100 Visningar