3
svar
83
visningar
mattegeni1 behöver inte mer hjälp
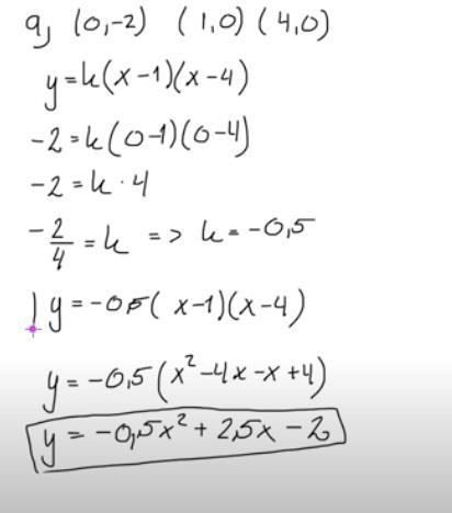
-0,5*4x
hur kan -0,5*4x bli 2,5x? jag får det till 2 och på miniräknaren blir det också 2?
Nej det blir -2x.
Yngve skrev:Nej det blir -2x.
ja precis jag menar 2x men dom fick 2,5? 
De har hoppat över ett steg på slutet, att förenkla parentesen till .
Det är alltså som blir lika med , vilket stämmer.