2
svar
94
visningar
sampledragon5 behöver inte mer hjälp
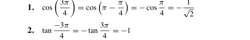
-1 eller 1


Hej! Är svaret -1 eller 1? Jag får det till 1 men facit får det till -1. Jag tycker att både min lösning är logisk och Facits lösning är logisk. Skulle någon snälla kunna förklara vem som har rätt och därav ge en förklaring till varför den ena inte stämmer. Min miniräknare säger att svaret är 1 och rent logisk så om man har vinkeln -135 grader så är den på tredje kvadraten dvs sin och cos är negativt dvs kvoten av dessa blir positiv
Fel i facit, det skall bli 1. Även med deras omskrivning så blir det -(-1) efterom tan(3pi/4) = -1.
Tack!!!!