3
svar
175
visningar
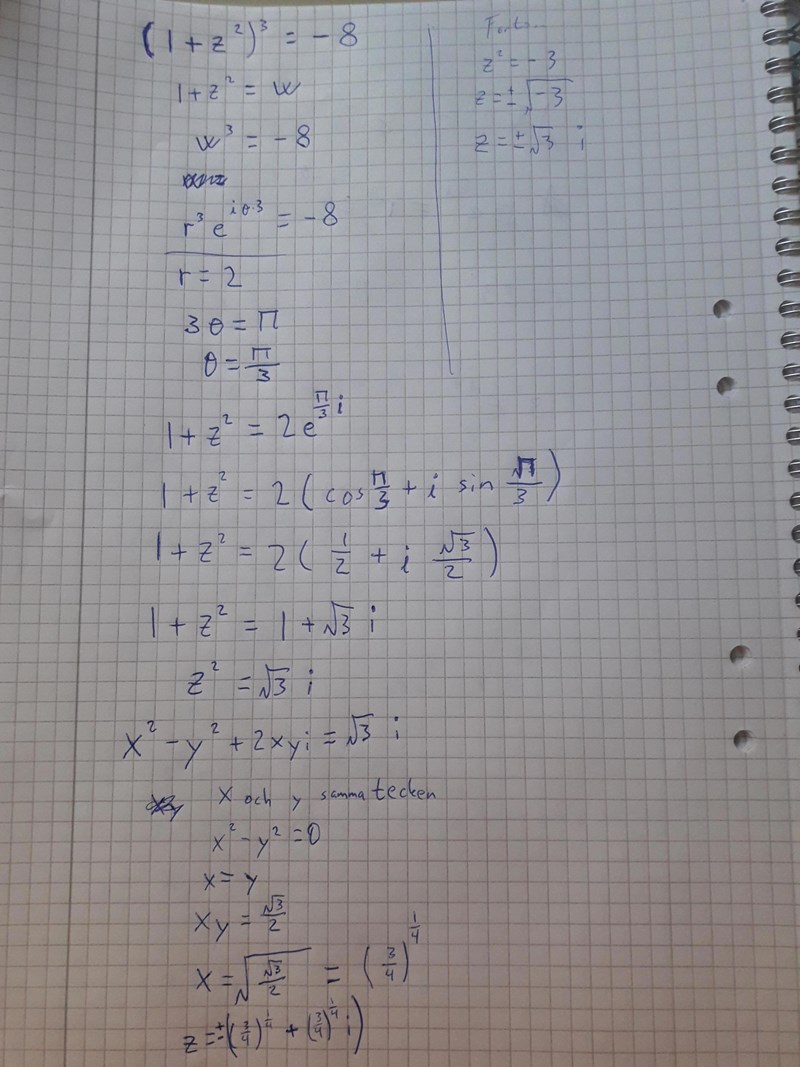
(1 + z^2)^3 = -8

Hej! Jag har två frågor.
1. Är det standard att man alltid ska köra både metoden med att skriva kvadraten av z på utvecklad form SAMT lösa som en andragradsekvation (vilket jag gör i övre högra hörnet)?
2. Det ska egentligen vara 6 lösningar. Och enligt facit behöver inte x och y ha samma tecken. Jag tycker att det ser ut som att det ska vara samma för att 2xyi blir positivt. Har jag missat nåt här?
Tack för hjälpen!
W är en tredjegradare och ska ha 3 lösningar. Du verkar ha räknat rätt på de två du hittat, men vad hände med den sista? Lägg på perioden direkt när du tar fram vinkeln, så 3O=pi+2pi*n så får du med alla.
Tackar!
Den har 6 lösningar eftersom det är en sjättegradsekv.