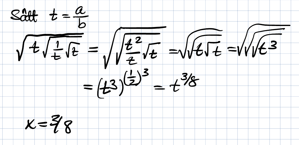
Matematik / Matte 3 2 svar 29 visningar Hjälp matte 16 Postad: Igår 14:13 1156 b Trinity2 Online 4179 Postad: Igår 14:41 Bedinsis Online 3340 Postad: Igår 15:53 Redigerad: Igår 17:48 abbaab=abba*a0,5b0,5=abb0,5a0,5=ab*b0,25a0,25=a0,75b0,75=a0,75/2b0,75/2 0,75/2 = (3/4)/2 = 3/8. Användare skriver Svara Du behöver Logga in eller Bli medlem först! Avbryt