12.18 Centralrörelse- Mekanik 1
Hej jag får rätt på va. Men nu har jag två gånger fått fel på vb. Man ska använda formeln för parabolisk hastighet. Men jag vet inte hur den formeln ser ut eller hur jag ska göra.


Är vB hastigheten som rymdfarkosten kommer att ha i B? Varför är den intressant?
Du skriver "den paraboliska banan med radien 4R". Vad menas med det? En parabel har ingen radie.
Ja, vb är hastigheten som rymdfarkosten har i B. Jag vet inte, jag testade bara och då blev det rätt svar.
Samma sak här jag testade och då blev det rätt svar med 4R. Men det stämmer ju inte.
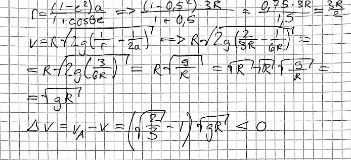
I andra bilden har jag använt mig av r för att få fram v men härledningen stämmer inte heller.
Jag vet inte hur jag ska få v. Men jag fick tips om att använda paraboliska hastighet. Men vet inte någon formel för den.