2
svar
670
visningar
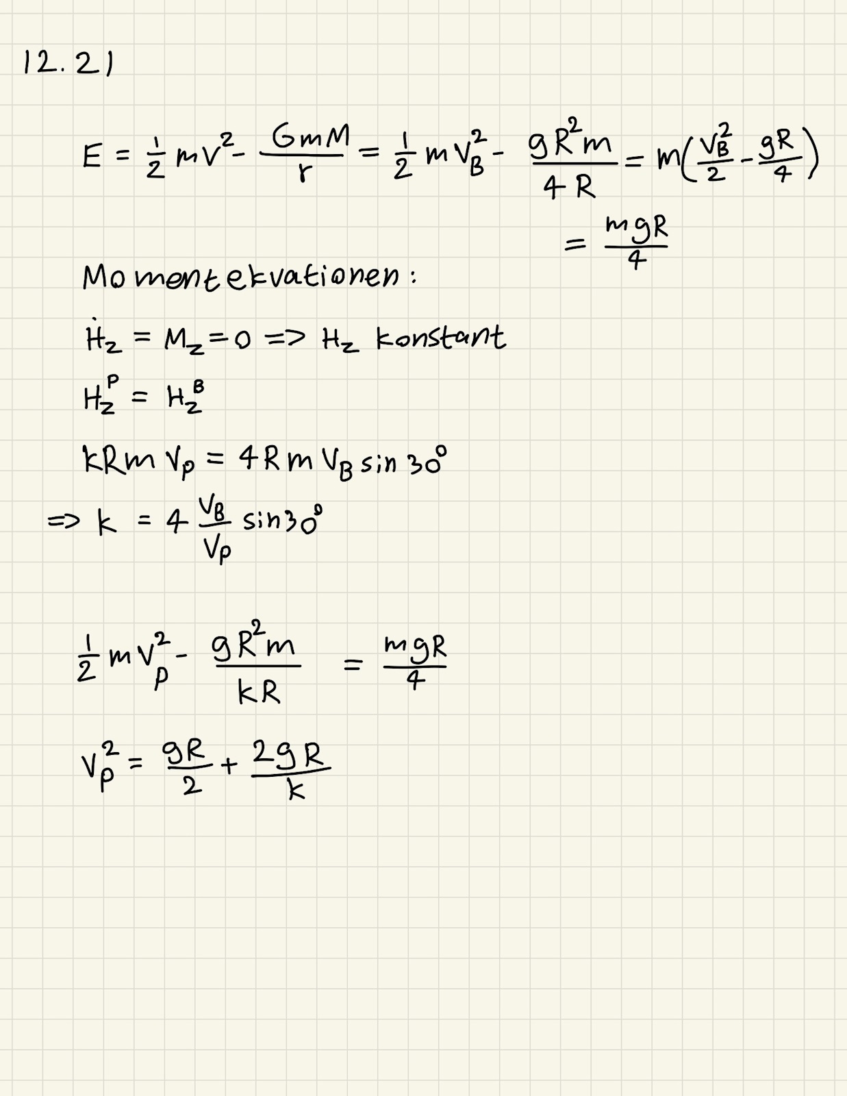
12.21 Centralrörelse Mekanik 1
Hej, jag kommer inte fram till något svar på avståndet OP. Jag har försökt använt bevarandet av rörelsemängsmomentet (momentekvationen) och bevarandet av energi, men det känns som jag har för många obekanta. Har även bifogat mitt försök att lösa uppgiften. Är tacksam för hjälp.
Om det hjälper så är detta svaret: k = 2(sqrt(3)-1) = 1.46, men jag är ute efter lösningen.


Du har så sista ekvationen ger:
Stoppa sedan in detta i den första du fick från rörelsemängdsmomentet.
En fråga: Vilket program använder du för att skriva dina lösningar? Ser snyggt ut.