2
svar
89
visningar
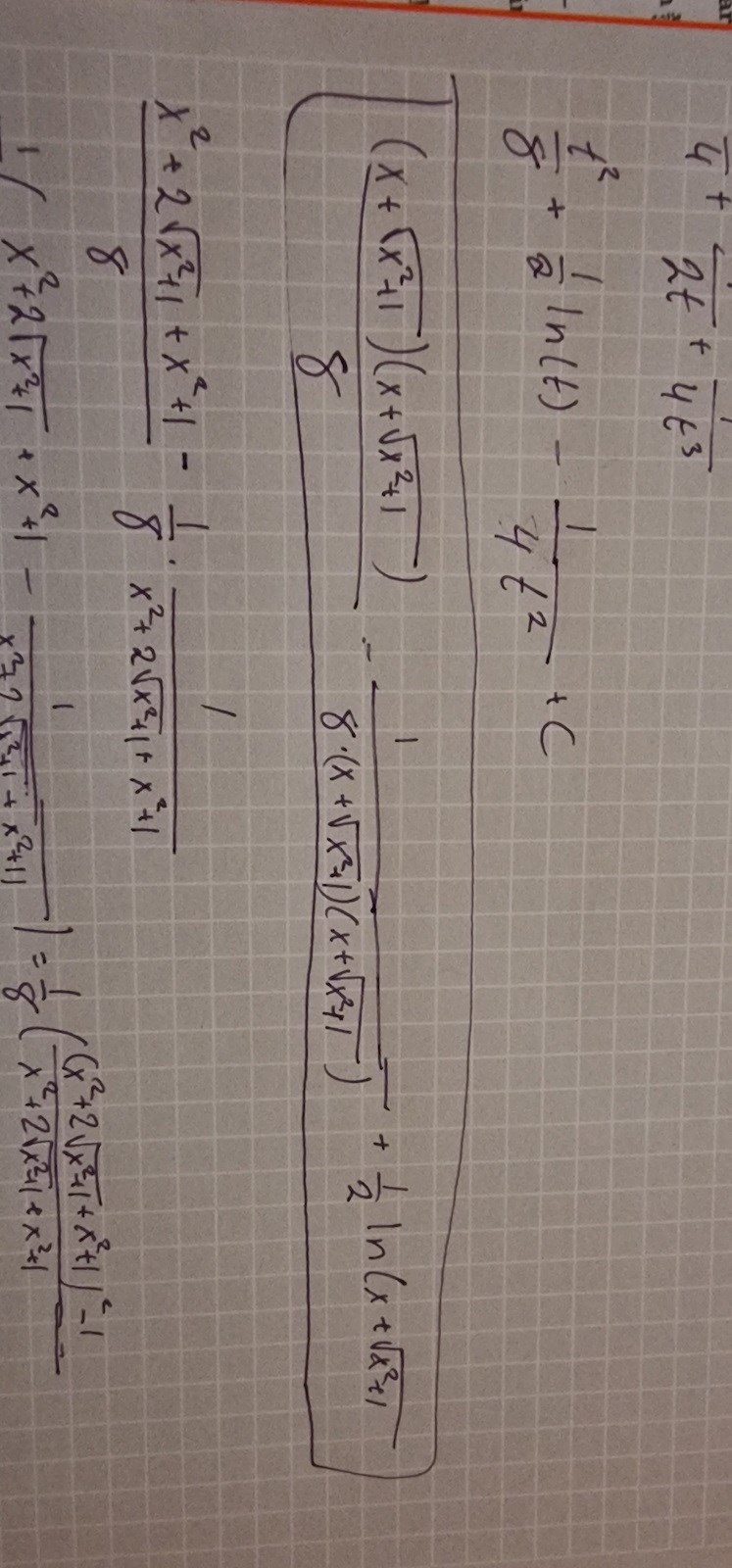
12.41 beräkna samtliga primitiva funktioner a
Hej jag har löst en uppgift och får ett svar men det stämmer inte med det svaret som finns på facit. Skulle någon kunna ta en titt på min lösning för att see vart problemet ligger. Det som står i rektangel är mitt svar och det som står i 'målnet' är svaret från facit.
Mvh
Huma

Jag gjorde den igen och insåg att jag hade ett fel och det var att det ska vara
Så här ( se nedan) men det blir ändå inte rätt
