14 bla diff ekv
Hej! Jag vet inte hur jag ska ta mig vidare i min lösning och kah misstänker även att den är fel. Hur ska jag göra?(fråga 14)



Jag förstår inte vad som händer efter ”alltså”? Ska man inte derivwra och hitta där derivatan är lika med noll?
2 lika rötter ger att

det är teori och bör stå i din bok, det är inte något man bara "inser" av sig självt, utan för lära sig.
Sedan har vi 2 villkor

Dessa ger

som har lösningen

Stoppa in A och B i

och du får

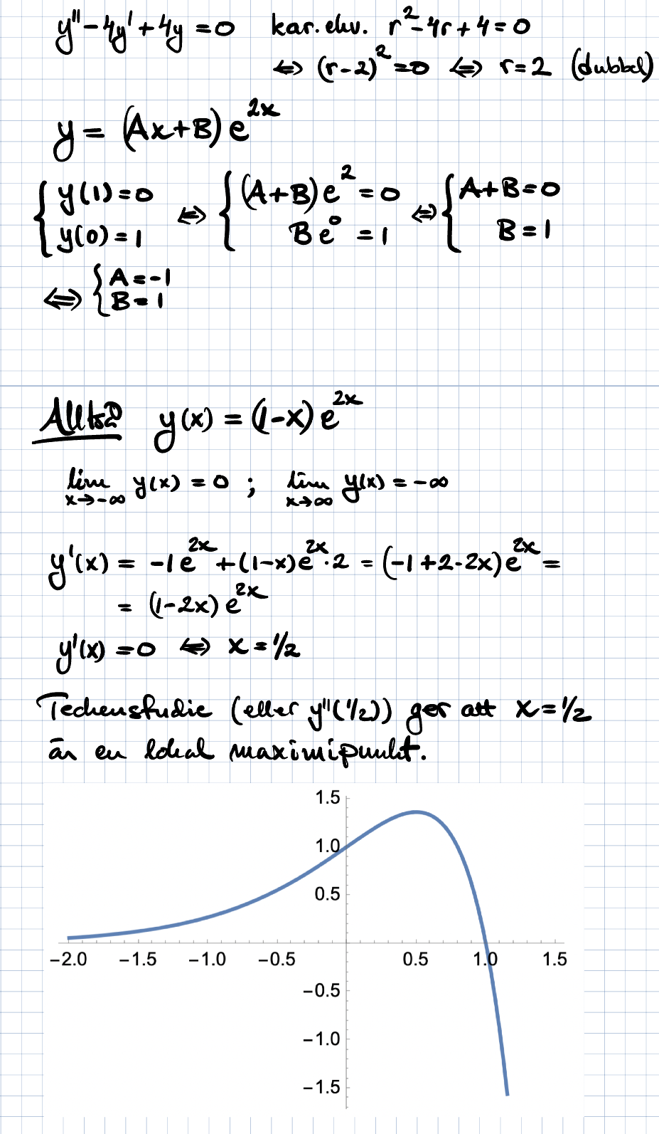
Sedan är resten "vanlig max/min-räkning" som du säkert gjort många gånger tidigare i Ma3 (eller är det Ma4?).
Ja men det är exakt det jag känner att jag gör. Jag detivefar och sätter lika med noll men får inte fram ett x värde
vad sker här?

Jag tänkte att jag behöver köra produkteegwlen eftersom det är x gånger e-termen
Ha en fin dag skrev:Jag tänkte att jag behöver köra produkteegwlen eftersom det är x gånger e-termen
Det är helt rätt, men är du säker på tecknen?
