3
svar
75
visningar
2 bla diff.ekv
Hej! Hur ska jag lösa 2:an?
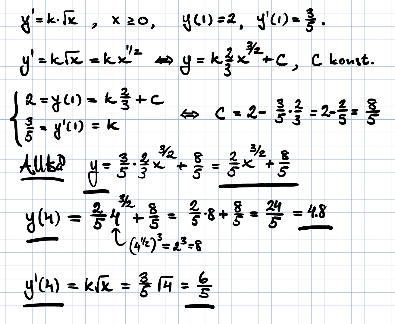
jag ställde upp sambandet y’ = k”roten ur x”
när jag ersätter y’ med 0,6 och x med 1 får jag att k = 0,6 min diff ekv är dock fel och fattar inte varför

Hur kom du på att differentialekvationen är fel? Den stämmer bra överens med beskrivningen i uppgiften.
Den lösning till denna diff:ekvation som går igenom punkten går även igenom punkten .
Jag fattar forfarande inte hur jag ska lösa uppgiften
Ha en fin dag skrev:Jag fattar forfarande inte hur jag ska lösa uppgiften
