1
svar
225
visningar
Kayden behöver inte mer hjälp
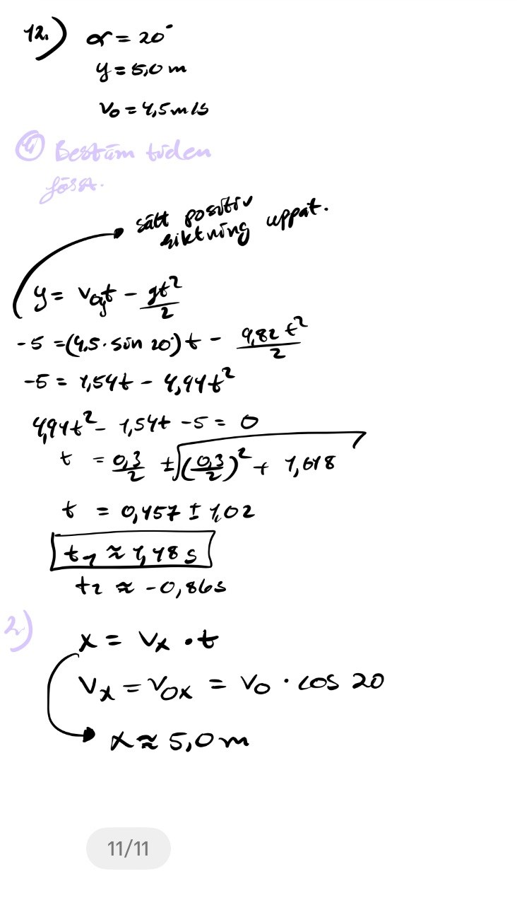
2 dimensionell rörelse

En boll rullar nedför ett tak som lutar 20.0°. Takkanten befinner sig 5.0 m över marken. Precis när bollen lämnar taket har den hastigheten 4.5 m/s.Hur långt från väggen slår bollen i marken?
Min lösning:

Kan någon förklara för mig varför min lösning blir fel?
i facit sätts positiv riktning neråt. Varför det?
Antagligen blev det fel eftersom bollens hastighet från början är riktad mot marken - alltså samma riktning som gravitationen - men du skriver att de har olika riktningar.