2 tangenter med kända ekvationer, bestäm cirkeln.
En cirkel har två tangenter med ekvationerna nedan. Hitta cirkeln.
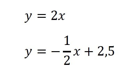
Jag har hittat skärningspunkten för tangenterna som är (1, 2) och jag förstår även att tangenten y=2x går genom origo. Jag förstår att jag skulle kunna använda tangentkordans satsen för att hitta cirkeln. Med andra ord, p1 = (1, 2), p2 = (0, 0). men jag förstår inte hur jag ska bestämma p3 punkten på den andra tangenten? Hur går jag vidare från här?
Du kan utnyttja att cirkelns radier är vinkelräta mot tangenterna. Vet du hur du kan göra detta?
Får man inte veta t.ex. hur stor den är? Annars finns det oändligt många svar.
Smaragdalena skrev:Du kan utnyttja att cirkelns radier är vinkelräta mot tangenterna. Vet du hur du kan göra detta?
Jag förstår euklides satsen "vinkeln mellan en tangent och radien till tangeringspunkten är rät" men jag vet inte hur jag ska använda satsen för att lösa problemet, speciellt tangenterna är givna som ekvationer. Hur ska jag gå tillväga här? Tack för vädledningen!
Laguna skrev:Får man inte veta t.ex. hur stor den är? Annars finns det oändligt många svar.
Menar du hur stor cirkeln är? Nej, det får man inte veta. Hur menar du att det finns oändligt svar? Det låter intressant, kan du förklara mer? Däremot så har jag lyckats rita ut den i geogebra så jag har en aning hur den ska se ut (tangentlinjerna är röda), men hur ska jag räkna ut den albraigiskt?

Var kommer alla linjer ifrån? Visa bara de två givna.
Laguna skrev:Var kommer alla linjer ifrån? Visa bara de två givna.

Då kan cirklarna ha vilken storlek som helst, och cirklarnas centrum kan ligga var som helst på någon av de linjer som är bisektriser till några av vinklarna. Det behövs mer information för att man skall kunna hitta en entydig lösning.
Smaragdalena skrev:Då kan cirklarna ha vilken storlek som helst, och cirklarnas centrum kan ligga var som helst på någon av de linjer som är bisektriser till några av vinklarna. Det behövs mer information för att man skall kunna hitta en entydig lösning.
Här allt information som är givet, och jag behöver hjälp med delproblem a (som jag redan har börjat på)

Hitta EN cirkel, står det - det betyder att det inte bara finns en, utan många. Det är viktigt att inte förvanska uppgiften när man skriver av den!
Smaragdalena skrev:Hitta EN cirkel, står det - det betyder att det inte bara finns en, utan många. Det är viktigt att inte förvanska uppgiften när man skriver av den!
Hej, jag förstår vad du menar. Jag bestämde mig att hitta en cirkel som tangerar enligt nedan därför att en av tangenterna samt cirkelns tangeringspunkt går genom origo. Så jag har lyckats att hitta en cirkel grafiskt, men hur gör jag det albraigiskt?

Välj två punkter där cirkeln tangerar linjerna. Du vet att radien är vinkelrät mot tangenterna. Kommer du vidare?
Visa spoiler
Du vet k-värdena för de båda linjerna. Kom ihåg att k1k2 = -1 för vinkelräta linjer.
Smaragdalena skrev:Välj två punkter där cirkeln tangerar linjerna. Du vet att radien är vinkelrät mot tangenterna. Kommer du vidare?
Visa spoiler
Du vet k-värdena för de båda linjerna. Kom ihåg att k1k2 = -1 för vinkelräta linjer.
Jag ska testa omedelbart! Tusen tack för vägledningen! Jag återkommer med mitt försök till lösning. Tack igen!!!