8
svar
133
visningar
Kan du förenkla nämnaren? (Hur många 2^x har du där)
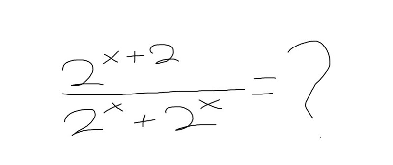
Jag vet att man kan skriva nämnaren som 2(2^x)
Då har du ekvationen
Använd potensregeln
ItzErre skrev:Då har du ekvationen
Använd potensregeln
okej men hur kommer man fram till svaret? Svaret ska vara 2
har du försökt använda potenslagen?
ItzErre skrev:har du försökt använda potenslagen?
Ja, kommer ej fram till något
Förenkla detta
ItzErre skrev:Förenkla detta
förstår nu! tack
