4
svar
304
visningar
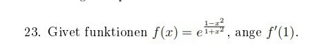
2019 mafy uppgift 23

Varför blir svaret -1 och inte endast 1?
Vad har du kommit fram till?
Du ska derivera funktionen.
Jag tänker att ifall man derviera e^kx får man k* e^kx
vilket gör att e^0 vilket blir 1?
Ludzz skrev:Jag tänker att ifall man derviera e^kx får man k* e^kx
vilket gör att e^0 vilket blir 1?
Förenkla exponenten med konjugat reglerna och sen derivera
