3 svar
172 visningar
hjalpmig123 behöver inte mer hjälp
hjalpmig123 55
Postad: 15 maj 2021 20:46 Redigerad: 15 maj 2021 20:48

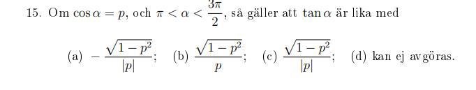
2019 Q15

Använder enhetscirkeln och förstår utifrån villkoren på vinkeln att den rätvinkliga triangeln befinner sig i tredje kvadranten. Jag får fram sambandet men förstår inte varför man ska ha absolutbeloppet av p. 

Smaragdalena 78892 – Avstängd
Postad: 15 maj 2021 20:55

Är p=cosαp=\cos\alpha positivt eller negativt i det intervallet? Ät tanα\tan\alpha positivt eller negativt?

hjalpmig123 55
Postad: 15 maj 2021 21:08 Redigerad: 15 maj 2021 21:09

Cos α är negativt men tan α är positivt. Aha jo nu fattar jag, tan α måste bli positiv därav går det inte att dividera med p som är negativt. Tack!

PATENTERAMERA Online 7829
Postad: 15 maj 2021 21:08

I tredje kvadranten så är både cosα och sinα negativa tal och tanα är därför ett positivt tal.

Triggettan: cos2α+sin2α=1 ger att sinα=-1-cos2α = -1-p2, då α är i tredje kvadranten.

tanα=-1-p2p = 1-p2-p = 1-p2p, eftersom p < 0.

Svara
Close