3
svar
162
visningar
L1vL behöver inte mer hjälp
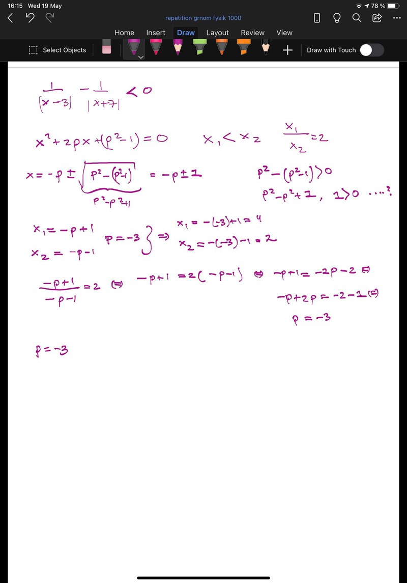
2019 Q22, 2:a gradare med villkor
Hej,
Varför är facits svar 3 och mitt -3?

Ditt är i själva verket och tvärtom.
De krävde att x1 < x2. I lösningen du fått fram är x1=4, x2=2, x1>x2.
Felet du gör är att anta att -p+1 garanterat är det mindre av de två talen. Du borde även testa hur det blir om du antar att -p-1 är det mindre.
Bedinsis skrev:De krävde att x1 < x2. I lösningen du fått fram är x1=4, x2=2, x1>x2.
Felet du gör är att anta att -p+1 garanterat är det mindre av de två talen. Du borde även testa hur det blir om du antar att -p-1 är det mindre.
Ja juste! Tack!