1
svar
159
visningar
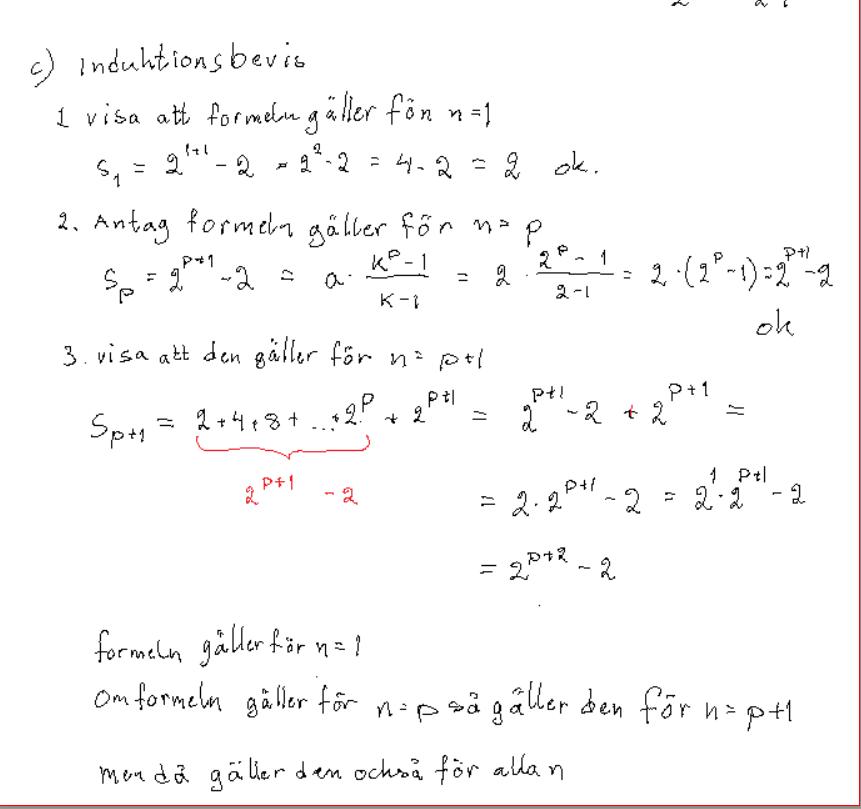
2306 induktionsbevis

Hej! Jag förstår inte varför i C så blir det -2 helt plötsligt:) Har väldigt svårt för induktionsbevis:(
Vilken formel är det som du försöker bevisa?