1
svar
256
visningar
2320 d exponentialekvationer o logaritmer
hej!
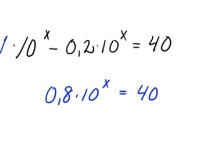
Jaag förstår inte hur det blir 0,8 x 10^x
Tack för hjälpen!!

Byt ut 10x mot a en liten stund:
1a-0,2a=40
0,8a=40
Byt tillbaka:
0,8*10x=40
Alternativt bryter du ut 10x:
10x - 0,2 * 10x = 40
10x * ( 1 - 0,2 ) = 40
10x * ( 0,8 ) = 40