4
svar
14
visningar
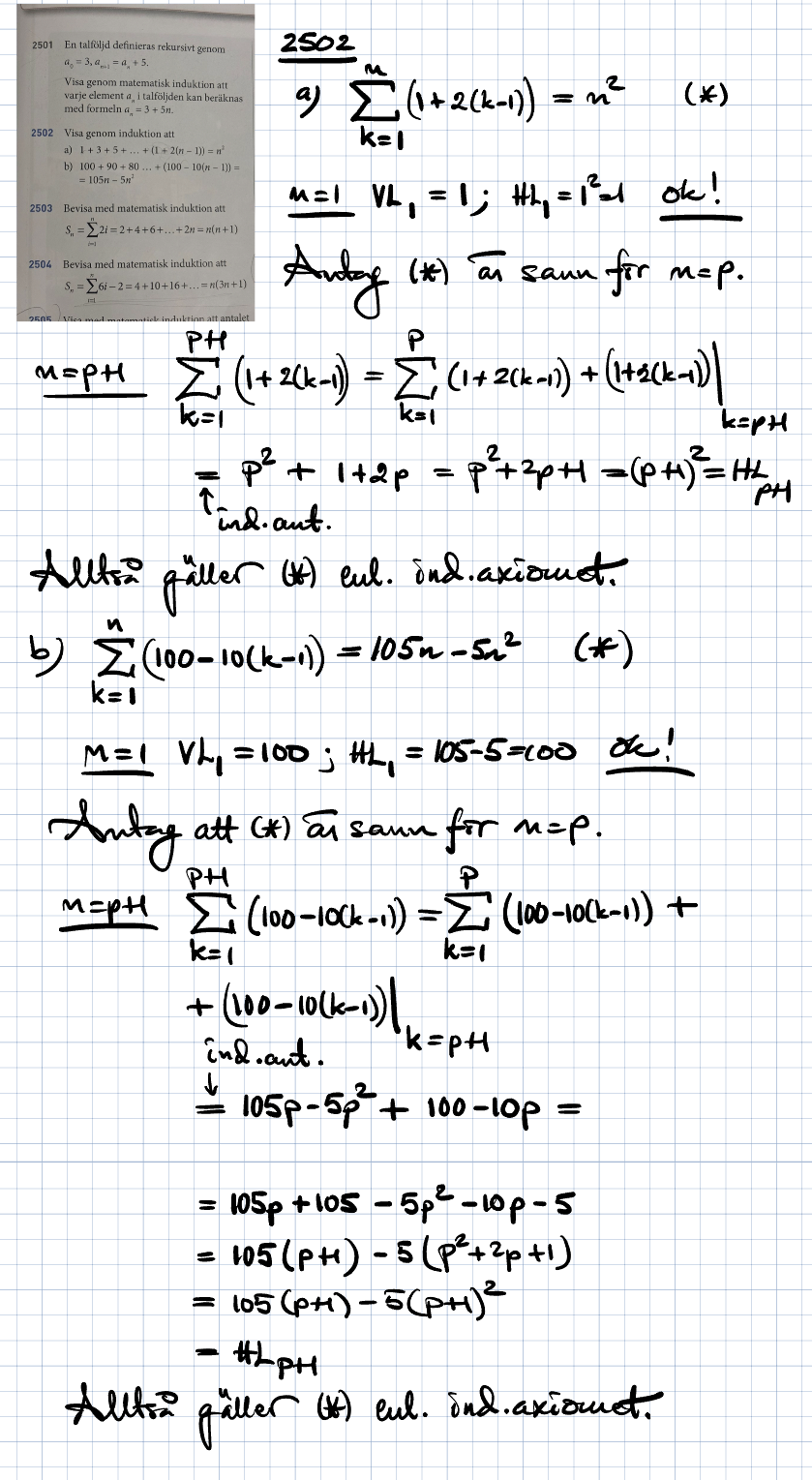
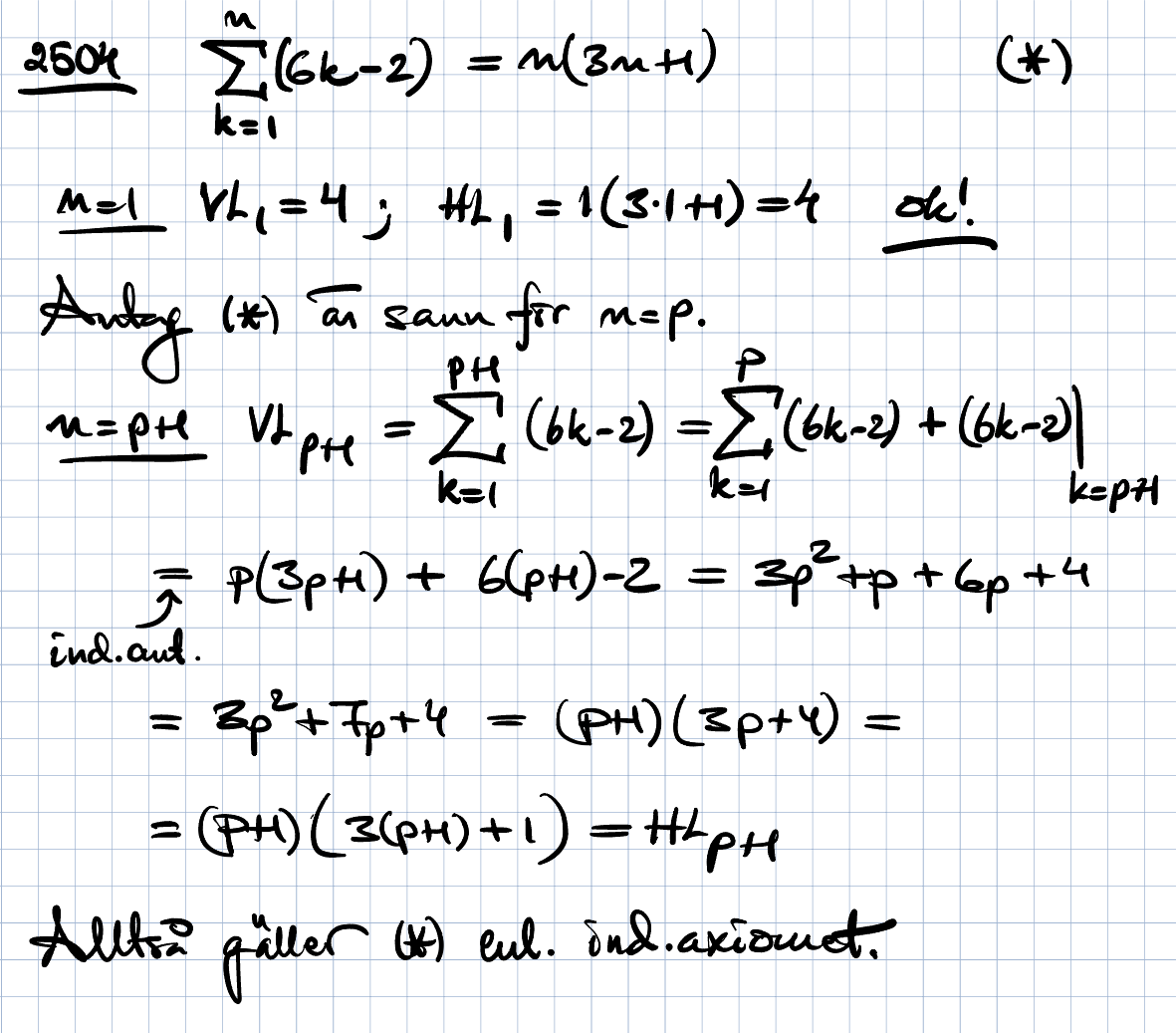
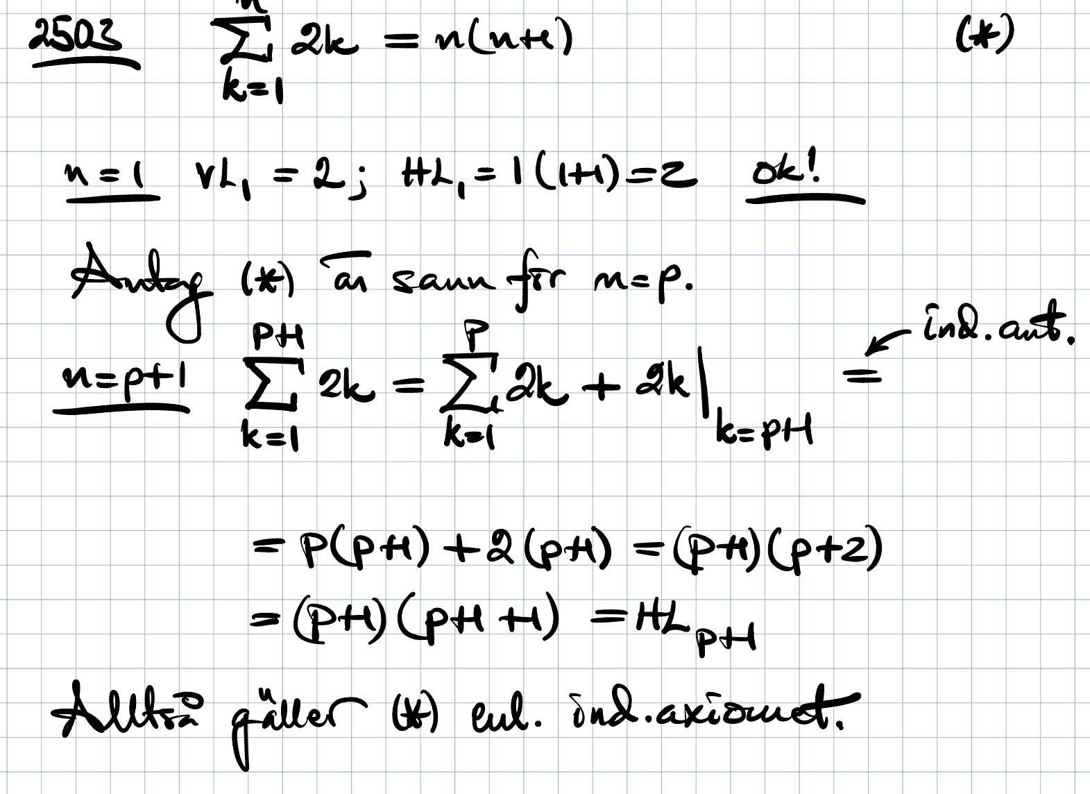
2502a induktionsbevis
Hej! Vart tänker jag fel på A?


En gratistjänst från Mattecentrum
Hej! Vart tänker jag fel på A?

