1
svar
61
visningar
2D stokastiska variabler
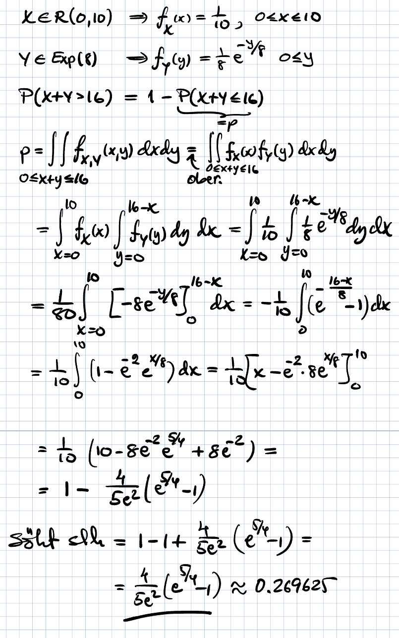
För att komma från ett ställe till ett annat åker en person först buss, därefter taxi. Om X och Y betecknar de tider som han får vänta (i minuter) på bussen respektive taxin, så är X rektangelfördelad i intervallet (0,10) medan fY(y)=1/8 * e-y/8, då y är större eller lika med 0. X och Y är oberoende. Beräkna sannolikheten för att han får vänta mer än 16 minuter sammanlagt.
Fördelningen för X är 1/10. Jag vill ju ta reda på P(X+Y)>16 men vet ej hur jag skall gå tillväga.
Tack på förhand
