2sinx ekvationer
Hur går jag vidare för att hitta x?

Det finns några vinklar som man bör känna till exakta värdet för sin och cos, de finns i din formelsamling.
kalla x/4 för a.
sin(a) = för a = pi/3 + 2npi där n är ett heltal, återstår att lösa ut a !
men det finns en lösningsmängd till! Utnyttja att sin(a) = sin(pi-a) !
Detta har vi nyligen gåt igenom så jag har inte lärt mig detaljerna än, varför har vi +2npi? Vad ska det vara för?
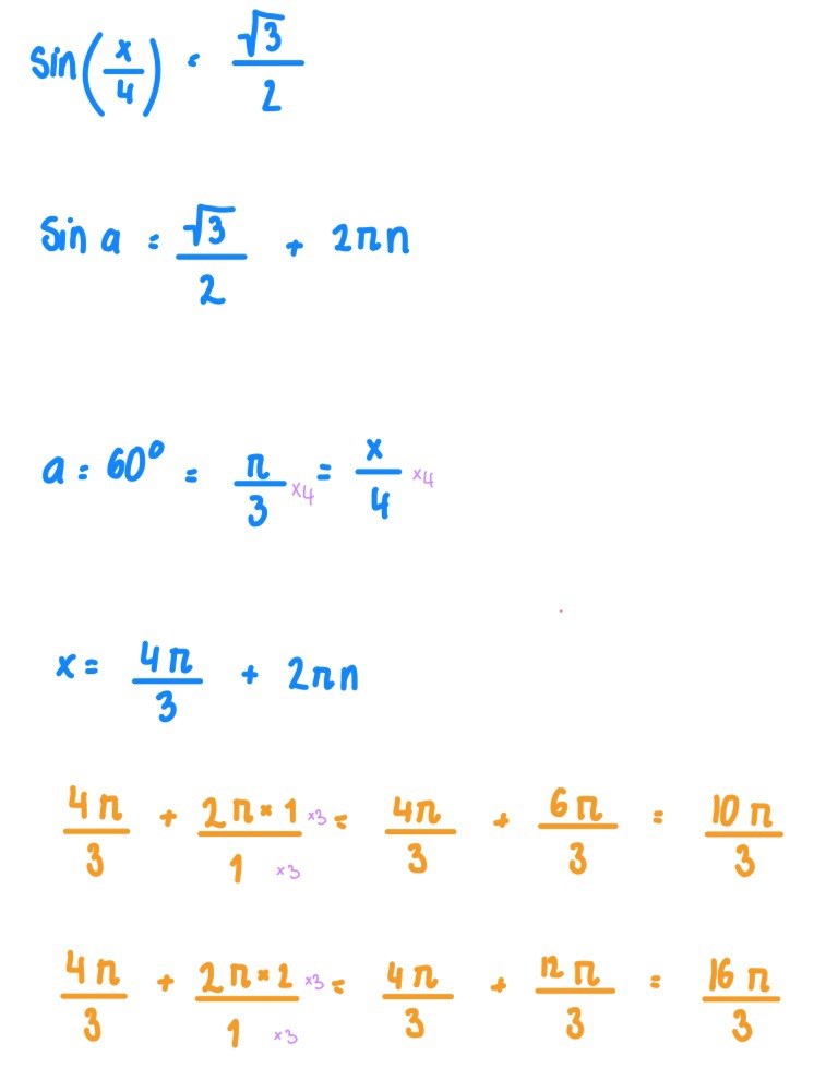
I detta fallet hade vi att 0<=x<=10 pi. Uppgiften är då att du ska ange ALLA lösningar i det intervallet. Ju större intervallet är desto jobbigare är det att skriva ut alla lösningar. Då är det praktiskt att skriva som Ture gör. Dock kan inte n vara vilket heltal som helst här. Kan du ange vilka heltal som n får vara? Tänk på att Ture satte x/4 = a.
För att komplettera Tomtens svar:
kommer ifrån faktumet att sinus är periodisk med en period på . Detta betyder att varje kommer du tillbaka till en vinkel som producerar samma värde. Detta är enkelt att se om du ritar ut en punkt på enhetscirkeln och nu roterar din penna . Då kommer du tillbaka till samma punkt, med enda skillnaden att vinkeln nu är där är antalet gånger du har roterat din penna. Notera att n kan vara positivt, likaså negativa heltal om inget annat anges.
Tusen tack! Nu har jag försökt men är dock lite osäker gällande gula delen. Byter jag ut n mot 1, 2, 3 osv för att få ett mönster med efter vilken vinkel jag kommer till för att få samma värde?

Första lösningsmängden ges av
x/4 = pi/3 +2npi
Multiplicera bägge led med 4
x = 4pi/3 +8n*pi, sen får du testa vilka värden på n som gör att lösningarna hamnar inom det eferfrågade intervallet.
Det är alltså viktigt att ha med periodiciteten när du förenklar uttrycken.
Sen har vi en lösningsmängd till, (baserat på sin(a) = sin(pi-a) titta i enhetscirkeln för att inse detta.)
pi-x/4 = pi/3+2npi som du får utveckla vidare själv