3 frågor om miniräknare
Hej!
Jag har några exempel i matteboken där det skrevs att använda miniräknaren. Tyvärr vet jag fortfarande inte hur man gör detta på en TI-82.
Jag kollade upp lite videor och hittade massor intressanta saker, bland annat fraktion funktion :), men inte detta!
Kan man göra dom här 2 sakerna med en TI-82 miniräknare, och i så fall hur?
1.
Min ''solve'' funktion funkar inte så, jag får bara välja Y=0.
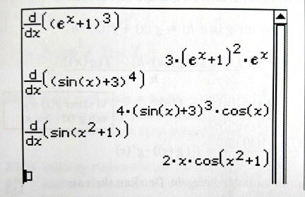
2.

3. Jag såg i den här videon (minut 1:03) att man kunde skriva funktioner i fraktionform, till ex . Kan man göra det med TI-82:an?
1. Jag känner inte igen det som står i bilden, så jag tror inte det går på en 82:a. Dock kan du skriva om till sin(x) + 1 = 0. Prova också att leta efter lösningar i graf-fönstret med "intersect".
2. Går tyvärr inte. För detta behövs en symbolhanterande räknare, vilket 82:an inte är.
3. Nej, det går tyvärr inte heller.
Ok, då vet jag, behöver inte förlora mer tid på det :).
Tack för tipset för 1:an :)