3 obekanta kolla

Du kan även omvandla systemet till en matris och lösa det, men allt stämmer. Vad undrar du?
Hur löser det man med matris då?
Hur löser det man med matris då?
Det brukar man inte (behöva) lära sig förrän på högskolan/universitetet.
Bra veta det, Magdalena!
Du kan skriva systemen i följande matrisform
Sen löser du och får ett tal för x, y, och z genom att ha en etta på varje rad :
, där x=a. y=b, z=c , vilket är det du söker efter. Borde ge samma svar
Ja, det var nytt sätt för mig.
Hej Päivi.
Har du någon fråga kring din lösning eller vad vill du att vi ska göra?
------
Jag tror inte att det är ngn bra idé att i nuläget introducera en lösningsmetod som involverar matriser.
Jag ville bara att du skulle titta på det här.
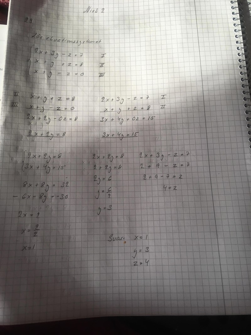
Jag är van med detta sätta lösa 3 obekanta. Jag provade substituons metoden, men fick fel svar med en gång. Det här var alternativet som jag kunde få rätt svar av.
Päivi skrev :Jag ville bara att du skulle titta på det här.
Jag är van med detta sätta lösa 3 obekanta. Jag provade substituons metoden, men fick fel svar med en gång. Det här var alternativet som jag kunde få rätt svar av.
OK.
Substitutionsmetoden fungerar alldeles utärkt även i detta fall:
Ekv. III ger att z = x + y
Ersätt z med detta i ekv I och ekv II:
Ekv. I: 2x + 3y - (x + y) = 7
Ekv II: x + y + (x + y) = 8
Förenkla:
Ekv. I: x + 2y = 7
Ekv II: 2x + 2y = 8
Ekv II ger att 2y = 8 - 2x
Ersätt 2y med detta i ekv I:
Ekv. I: x + (8 - 2x) = 7
Förenkla:
Ekv. I: -x = -1
Dvs x = 1
Och så vidare.
Jag började så också, men ändå gick det snett för mig och då valde jag additions metoden.
Men på samma sätt här som tidigare, det finns enklare och smartare sätt att lösa ekvationssystemet.
Till exempel: Bara genom att titta på ekv II och ekv III så ser vi direkt att x + y = 4 och att z = 4.
Detta ger oss ekvationssystemet
2x + 3y - 4 = 7
x + y = 4
som vi kan lösa med valfri metod.