1
svar
59
visningar
Katarina149 behöver inte mer hjälp
3 punkter
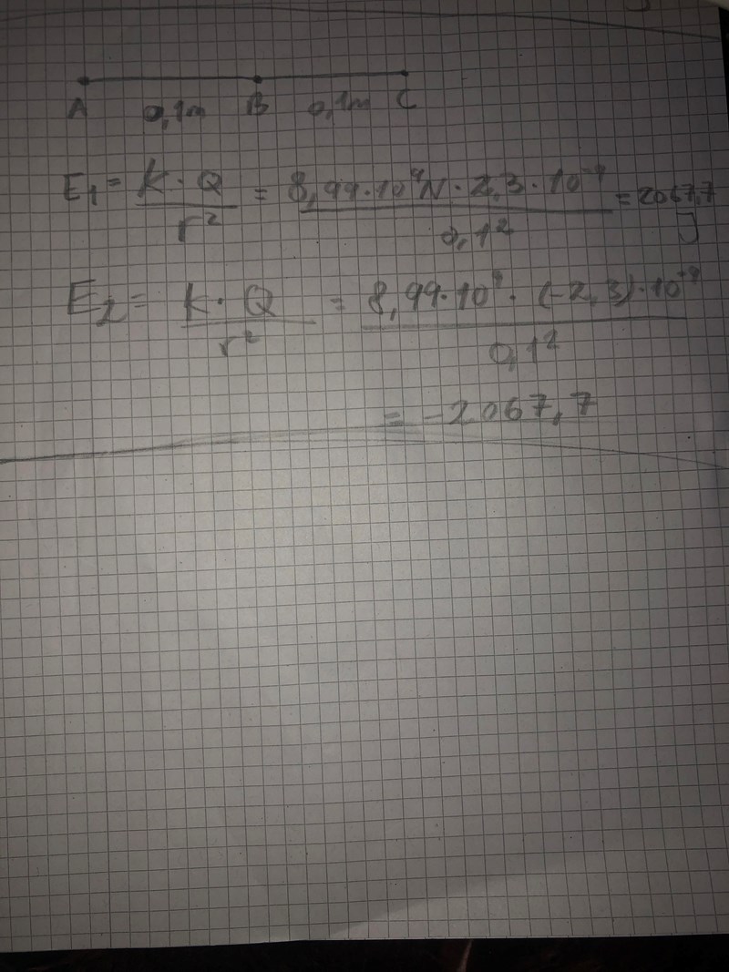
Alla 3 punkter är placerad horisontell med 0.1m mellan varandra. Båda punkt A och B har +2.3nC och punkt 3 -2.3nC.
Beräkna elektriska fältet från A och B som C känner, till storlek och riktning.
Hur kommer jag vidare ...?
Jag tror du ska tänka att du står i punkten C. Vad får du då för elektriskt fält från A och B?
Jag hittade detta i min gamla formelsamling:

Det är alltså oväsentligt vad C har för laddning, man summerar bara bidragen från A och B i punkten C.
(Här betecknas fältstyrkan med K)