6
svar
174
visningar
Lg 10 = 1
1x = 8
x är inte lika med 8??
Lg(10x ) = x*lg(10)
Ture skrev:Lg(10x ) = x*lg(10)
va? hurdå?
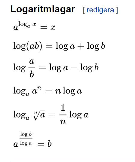
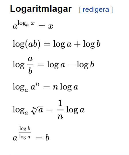
enligt räkneregler för logaritemer, 4e uppifrån

Ture skrev:enligt räkneregler för logaritemer, 4e uppifrån
det här är kapitlet innan logaritmlagarna. Hur är tanken att jag ska lösa detta utan att ha koll på lagarna?
Då ska du tänka på vad logaritemer är.
10-logaritemen av ett tal visar vad man ska upphöja 10 till för att få talet.
Så log(100) = 2, eftersom 102 = 100
Försök tillämpa det på din uppgift. För att göra det lite enklare kan du dela uppdet i två steg
steg 1. Vad är a i log(a) = 8
steg 2. vad är x i a = 10x

