8
svar
310
visningar
som314 behöver inte mer hjälp
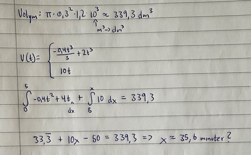
3211 Vatten pumpas in den cylindriska behållaren
Hej, jag undrar om jag gör något fel här. Jag får svaret till 35.6 minuter, men i facit står det att svaret är "Ca 132 minuter".


Den första integralen blir mer än så. Räkna om den.
Jag räknade fel👎
Ja, så jag antar att det korrekta svaret är 35.6, det står helt enkelt fel i facit.
Facit har fel

Trinity2 skrev:Facit har fel
Borde man inte addera 35,6 minuter + 5 minuter. Eftersom att det först tar 5 minuter innan den har konstant hastighet. Borde inte den totala tiden bli 40,6 minuter
Detta har vi redan tagit hänsyn till i våran funktion. Den byggs upp av två delar den den första delen redan lägger till 5 minuter. Därför behöver man ej göra det i efterhand. :)


