4
svar
115
visningar
3314 e matte3c
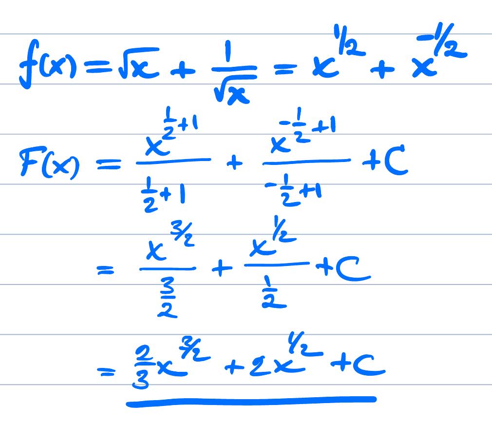
Frågan är "Ange alla primitiva funktioner till e) f(x)= " Jag fick svaret F(x)= för just roten ur x och förstår ej hur svaret där blev ?
Hur försökte du lösa uppgiften? Vad gjorde du?
Jag förenkla f(x) och fick då f(x)= . Så F(x)=+C. Jag tänkte så för man höger exponenten med 1 och nämnaren med 1
Lol12345 skrev:Jag förenkla f(x) och fick då f(x)= . Så F(x)=+C. Jag tänkte så för man höger exponenten med 1 och nämnaren med 1
Att man höjer både exponenten och nämaren med 1 stämmer inte riktigt. Vad skulle du få om du tar derivatan av
?
