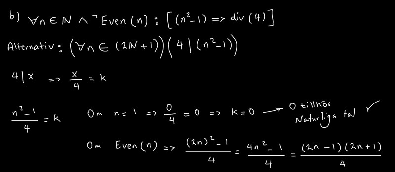
3b) att visa om n^2 - 1 är delbar med 4

Hur har du börjat? Du kan skriva alla n på formen . Vad får du om du sätter in detta i ? :)
Här är mitt svar:

Smutstvätt skrev:Hur har du börjat? Du kan skriva alla n på formen . Vad får du om du sätter in detta i ? :)
Jag behöver nu bara visa att detta är delbart med 4 för udda och jämna! Jag har fastnat nu för jämna tal
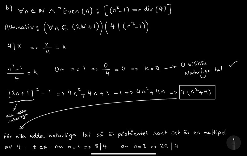
Jag tror jag har löst uppgiften, kan du kolla om mitt svar är korrekt?

Det ser vettigt ut. Den enda synpunkten jag har är i slutet. Du behöver inte ha exempel, även om det är trevligt. Däremot gäller det att "a delar b" skrivs , inte . :)
Smutstvätt skrev:Det ser vettigt ut. Den enda synpunkten jag har är i slutet. Du behöver inte ha exempel, även om det är trevligt. Däremot gäller det att "a delar b" skrivs , inte . :)
Åj just det! det ska stå t.ex. 4 | 24.
Tack så mycket för hjälpen!
Det stämmer!
Varsågod! :)