3
svar
457
visningar
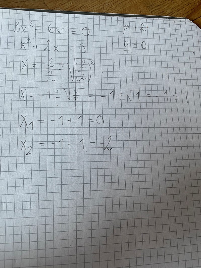
3x^2 + 6X = 0 PQ Formeln
Hej
Jag försöker lösa 3X^2 + 6X = 0 med PQ-formeln. Men mitt svar skiljer sig från facit och jag lyckas inte komma till svars med varför.
För att 3x^2 ska bli x^2 så delar jag vänster-raden med 2
Så 3x^+6X / 2 = x^2+3X = 0 eftersom 0 går ju inte att dela med 2.
Sen går jag vidare till PQ formeln och skriver:
x= - 3/2 +- √ (3/2)^2
=
x= - 1,5 +- √ 2,25
=
x = - 1,5 +- 1,5
x1: 0
X2: -3
Enligt facit skall X2 vara -2. Vart går jag snett? :/
Nja om du har 3x^2 ska du dividera med 3 inte 2
Använd gärna nollproduktsmetoden här
Förstår du detta?
Hallonet skrev:Förstår du detta?
stort tack till er båda! Nu sitter det! Trevlig fredag!
