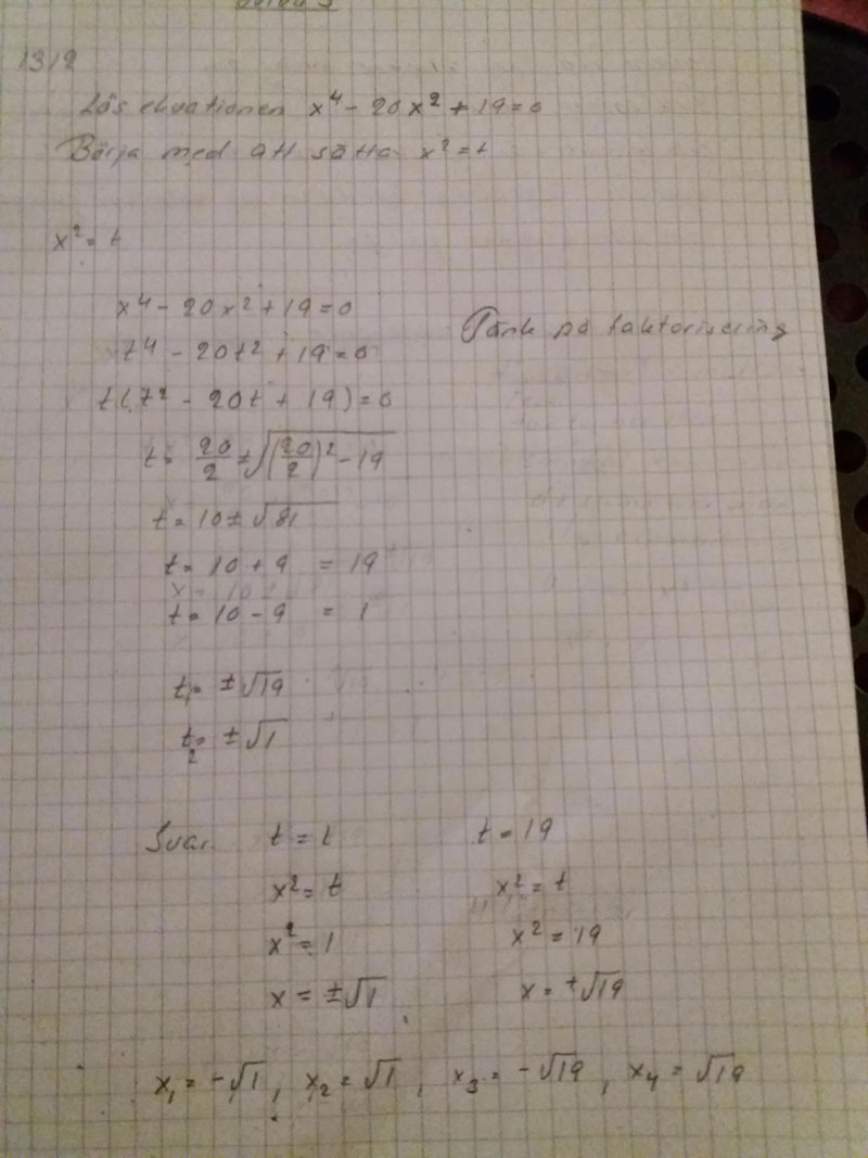
4 grads ekvation frågande om faktorisering

Försök lösa ut t med substitutionen som du har. Fortsätt sedan med att få ut x efter det.
Du har ju inte alls satt t=x^2.
Det ser ut som om du har försökt skriva om ekvationen till
x^2 ( x^2 - 20x + 19) = 0
men om du multiplicerar ihop det där får du ju en helt annan ekvation, eller hur?
Nej.
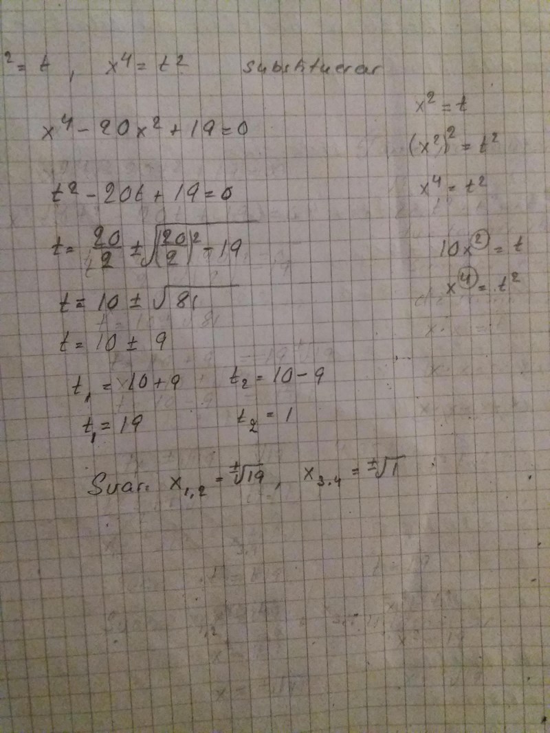
Om x^2 är t, vad är då x^4 ?
x^2=t^2
Päivi skrev :x^2=t^2
Nej. Slarvfel, tror jag.
Då vet jag inte.
Jodå.
Glöm ditt felaktiga svar, och läs min fråga igen, så blir det rätt!
Min fråga igen:
Om x*x = t, vad är då x*x*x*x ?
x^2= t
x^4= t^2
Bra. Du hittade slarvfelet.
Vad blir då ekvationen, uttryckt i t och inte i x ?
Det blir t^2
Päivi skrev :Det blir t^2
Vilken fråga svarar du på?
Och vad är "det" som du säger blir t^2?
t^2 =x^4
t = x^2
Se ny bild
Ja, nu är så gott som allt rätt. En rödmarkering kvar, och så kan du ju förenkla
Har du förstått vad du gjorde fel?

Fel av mig. Två rödmarkeringar:

Det ska väl stå x istället för t. Hur ska jag förenkla roten ur 1
Jag menade alla mina rödmarkeringar, totalt sju stycken.
Fråga om det är någon av dem som är oklar.
Jag kan inte se det.
Bubo skrev :Ja, nu är så gott som allt rätt. En rödmarkering kvar, och så kan du ju förenkla
Har du förstått vad du gjorde fel?
Den här, vad är det som är fel här ?
Du har ju räknat ut t=19 och t=1 strax ovanför.
I röd rektangel skriver du t^2=19 och t^2=1. Slarvfel.
Javisst.
Du slarvar fortfarande med beteckningarna. Först skriver du
och på nästa rad
Nu skriver jag från telefonen.
Jag skriver t1 = 19 t2=1, så ska det stå även i andra raden också.
Ja, nu har vi fått helt rätt på en av rödmarkeringarna.
Bubo skrev :
Två under grön markeringarna då, vad är fel där?
Du MÅSTE skriva tydligt. Hur i hela friden skall jag kunna veta vilken grönmarkering du menar?!
Om du tittar den översta gröna. Sedan kommer två röda under den. Titta allra högst upp.
Ja, vad tycker du själv? Vad har du skrivit i den översta röda rektangeln? Hur har du kommit fram till det som står där?
Det skulle substitueras och det ska stå t^2 istället.
Päivi skrev :Det skulle substitueras och det ska stå t^2 istället.
Du MÅSTE skriva tydligt.
- VAD skulle substitueras?!
- VAR skall det stå t^2 i stället för VAD DÅ?!
Jag ska skriva från dator. Det är inte lätt skriva från telefonen.
Där vi har
Javisst.
Och i dina röda rutor har du skrivit något helt annat. Du ser väl skillnaden?
Ja, det gör jag. Jag somnade här. Hör inte till ovanligheter.




