4 svar
198 visningar
oberoende 101 – Fd. Medlem
Postad: 2 maj 2021 17:45

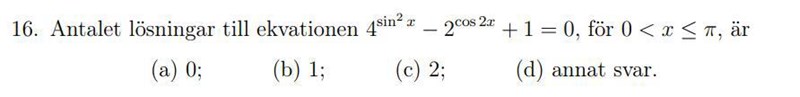
4^(sin^2(x)) - 2^(cos(2x)) + 1 = 0, antal lösningar?

Hur kan man lösa den här uppgiften?

Det funkade att rita en graf och beräkna värden för x = 0, x = pi/2, x = pi, men det var rätt tidskrävande. Finns det något bättre sätt eller är en graf det enklaste och snabbaste?

Arian02 520
Postad: 2 maj 2021 17:58 Redigerad: 2 maj 2021 18:01

Förenkla först.

4sin2x-2cos2x+1=022sin2x - 21-2sin2x + 1 =0inför ny variabel såsom    y = 2sin2x2y- 21-y =-12y- 22y= -1inför ny variabel återigen.  z =2yz-2z= -1.Andragradsekvation som har lösningen z = 1 och z =-22y =1    ger   y =0    ger    0 =2sin2x     ger  x =pi (i intervallet)2y=-2 ger ingen lösning.

 

detta tog mig ca 5minuter att skriva förhands och jag tror det är det snabbaste sättet.

oberoende 101 – Fd. Medlem
Postad: 2 maj 2021 18:11
RandomUsername skrev:

Förenkla först.

4sin2x-2cos2x+1=022sin2x - 21-2sin2x + 1 =0inför ny variabel såsom    y = 2sin2x2y- 21-y =-12y- 22y= -1inför ny variabel återigen.  z =2yz-2z= -1.Andragradsekvation som har lösningen z = 1 och z =-22y =1    ger   y =0    ger    0 =2sin2x     ger  x =pi (i intervallet)2y=-2 ger ingen lösning.

 

detta tog mig ca 5minuter att skriva förhands och jag tror det är det snabbaste sättet.

Tack för hjälpen! Tydlig lösning.

marcusd74h 20
Postad: 16 apr 2024 16:28
Arian02 skrev:

Förenkla först.

4sin2x-2cos2x+1=022sin2x - 21-2sin2x + 1 =0inför ny variabel såsom    y = 2sin2x2y- 21-y =-12y- 22y= -1inför ny variabel återigen.  z =2yz-2z= -1.Andragradsekvation som har lösningen z = 1 och z =-22y =1    ger   y =0    ger    0 =2sin2x     ger  x =pi (i intervallet)2y=-2 ger ingen lösning.

 

detta tog mig ca 5minuter att skriva förhands och jag tror det är det snabbaste sättet.

Jag vet att detta är några år fram i tiden sedan du skrev ditt svar men jag förstår inte hur du fick cos2x till 1-2sin2x. Enligt mig ska det ju bli 1-sin2x enligt trig.ettan. 

marcusd74h 20
Postad: 16 apr 2024 16:29
marcusd74h skrev:
Arian02 skrev:

Förenkla först.

4sin2x-2cos2x+1=022sin2x - 21-2sin2x + 1 =0inför ny variabel såsom    y = 2sin2x2y- 21-y =-12y- 22y= -1inför ny variabel återigen.  z =2yz-2z= -1.Andragradsekvation som har lösningen z = 1 och z =-22y =1    ger   y =0    ger    0 =2sin2x     ger  x =pi (i intervallet)2y=-2 ger ingen lösning.

 

detta tog mig ca 5minuter att skriva förhands och jag tror det är det snabbaste sättet.

Jag vet att detta är några år fram i tiden sedan du skrev ditt svar men jag förstår inte hur du fick cos2x till 1-2sin2x. Enligt mig ska det ju bli 1-sin2x enligt trig.ettan. 

Såg mitt mistag nu det är ju inte cos2x utan cos2x.

Svara
Close