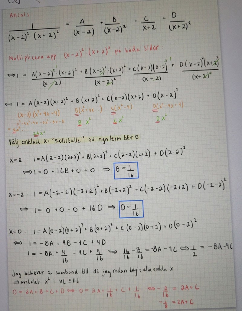
4 variabler, 4 ekv.

Jag inser att ett samband är fel då jag får på sista sidan får -8A +8A, därmed får jag inte ut någon variabel. Hsr jag tagit fram mitt samband fel?
Bra jobbat!
Du gjorde ett litet fel nedan. Det ska vara nedan

Jag fattar inte varför ekvationerna blir fel. Det ska bli A=-1/32 och C=1/32. Jag har kollat en extra gång också
Jag har inte kontrollräknat vad du gjort men gjort en iakttagelse:
integranden var
som du skrev om till
och sen partialbråksuppdelade till
Du har alltså vänt på 2-x till x-2, kan det vara orsaken till att det blir fel? (Att B och D ändå blir rätt är fullt rimligt)
Edit: Feltänkt, det påverkar bara tecknet på A, vilket ju är helt ok.
Men har jag hittat fel antal X^2- termer och x^3-termer?
offan123 skrev:Men har jag hittat fel antal X^2- termer och x^3-termer?
Du kan och bör alltid alltid kontrollera dina partialbråksuppdelningar genom att sätta ihop dem på gemensamt bråkstreck, förenkla och se om du då får tillbaka ursprungsbråket eller ej.
Du verkar ha utvecklat parenteserna vid C slarvigt.
Vore det inte enklare att bara fortsätta stoppa in siffror, typ 0 och 1, för att få ut A och C?
När du tagit den lågt hängande frukten dvs B och D som du kan göra med handpåläggning, tycker jag att det är bäst att gå tillbaka till ansatsen för att, som Micimacko skrev, sätta in några enkla x värden.
så här:
x = 0
vilket snabbt förenklas till
multiplicera med 16 i bägge led ger
1/2 = -8A +8C
sen tar vi x = 1
förenklas till
osv