3 svar
49 visningar
Ha en fin dag behöver inte mer hjälp
Ha en fin dag 3372
Postad: 16 feb 16:40

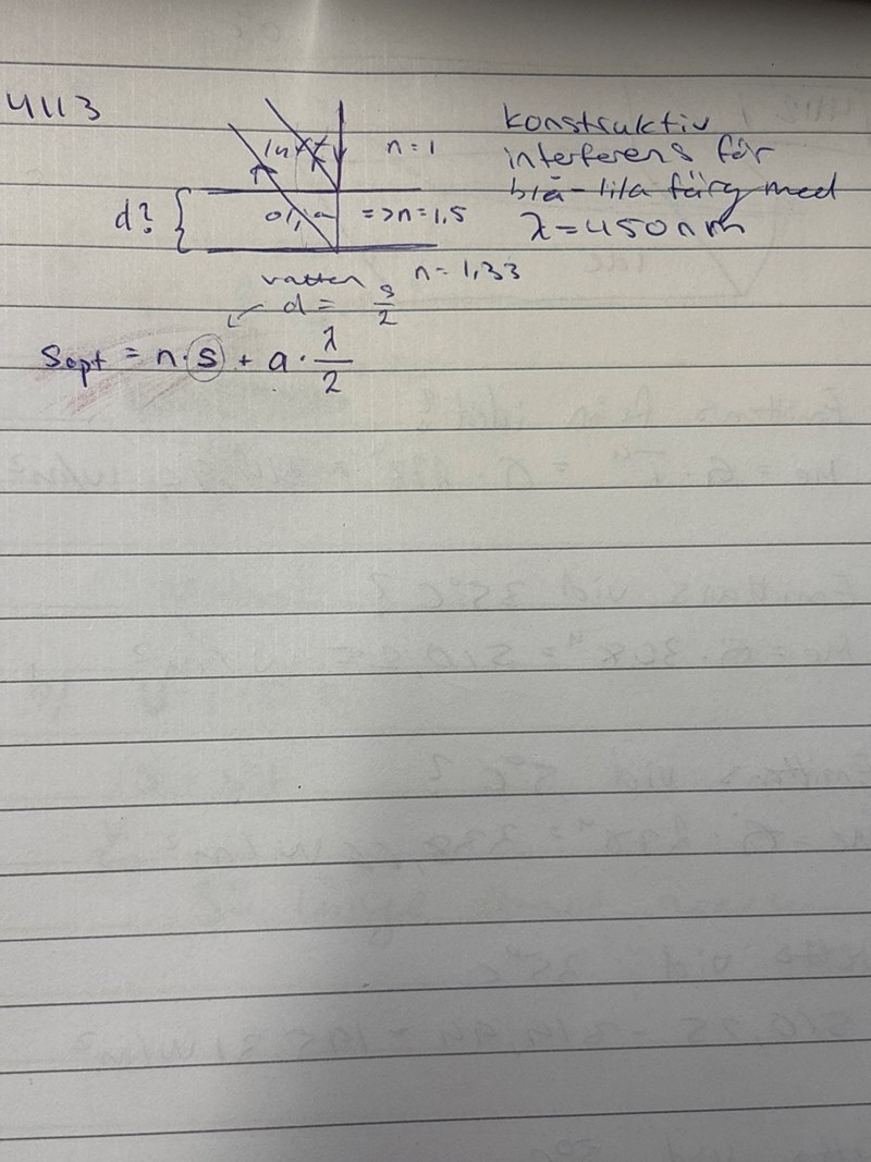
4113 b optisk väg

Hej! Jag förstår inte hur jag ska tänka på B.

jag vet att det är S jag vill ha ut av formeln men hur kan jag räkna ut Sopt?

Ture 11160
Postad: 17 feb 13:53

Det här handlar om interferens vid reflektion i tunna skikt. Du har två reflektioner som interfererar med varandra.

se den här filmen, andra halvan tar upp ett likartat exempel.

https://www.google.com/search?q=interferens+tunna+skikt&rlz=1C1FHFK_svSE1160SE1160&oq=interferens+tunna+skikt&gs_lcrp=EgZjaHJvbWUyBggAEEUYOTIICAEQABgWGB4yCAgCEAAYFhgeMgcIAxAAGO8FMgcIBBAAGO8FMgcIBRAAGO8F0gEINDc1MWowajeoAgiwAgHxBYLKHR8mtcPT8QWCyh0fJrXD0w&sourceid=chrome&ie=UTF-8#fpstate=ive&vld=cid:fd749769,vid:FltstQ-auRE,st:0

Ha en fin dag 3372
Postad: 20 feb 16:29

Han använde en formeln jag inte känner igen. Hur ska jag tänka med den formeln jag skrev upp.. mitt problem är att eftersom det är en och samma våglängd hur ska jag räkna ut en vägskillnad? Oftast brukar det vara två olika ljusvågor med olika våglängd, nu är det en och samma?

 

Ha en fin dag 3372
Postad: 20 feb 20:23

Jag fattar nu. Tack 

Svara
Close