2
svar
98
visningar
Simonload10 behöver inte mer hjälp
4303 Nokflex
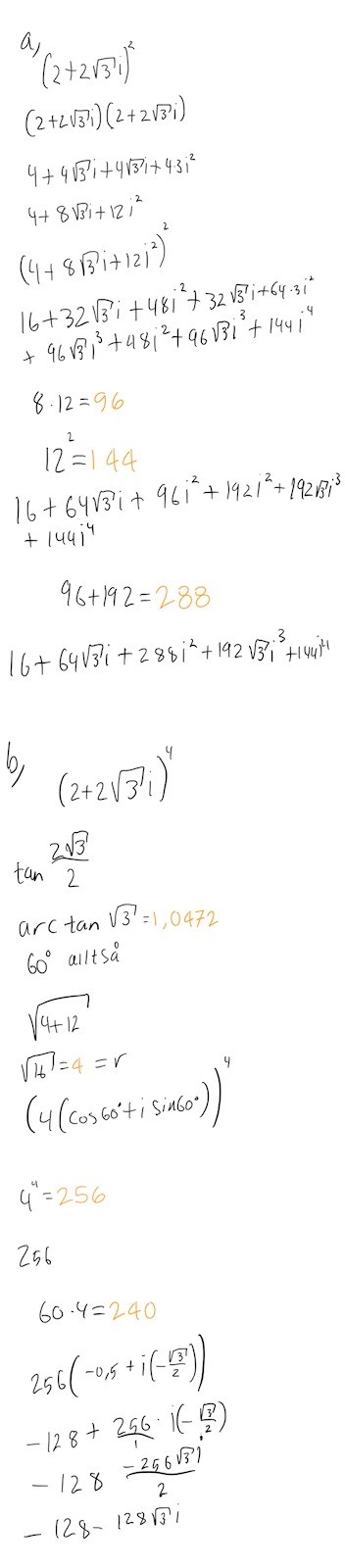
Varför blir min förenkling fel? Är det bara att jag glömde att ersätta i^2 med -1? På a uppgiften.

Simonload10 skrev:... Är det bara att jag glömde att ersätta i^2 med -1? ...
Ja. Gör det nu i slutet, då.
(Eftersom du inte förenklat i^2 till -1 så snart som möjligt, så blev uträkningen mycket krångligare än vad den behövde vara.)
Alternativ:
(4(1/2+i))4=(4)4=256=-256(1/2+)