3
svar
373
visningar
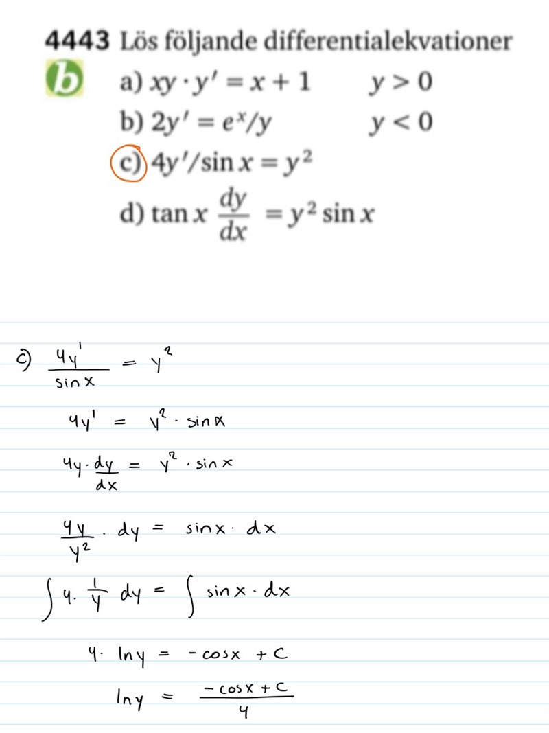
Såg mitt fel
Hur löste du?🥹
eller jag tror jag lyckades lösa, om någon annan som är inne och undrar hur man löser uppgiften :)) (på 5e steget har jag råkat rita ett ,S, framför -4/y vilket såklart inte ska vara där)
