2
svar
117
visningar
Mur.Osm behöver inte mer hjälp
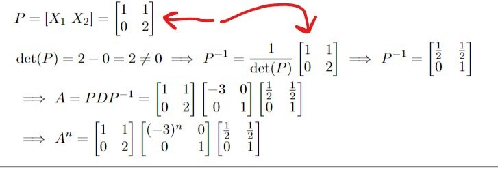
(4b) Determinant - byta plats och tecken
Hej, i tidigare uppgifter när jag räknar p^-1 och ska använda 1/det(p) har jag alltid bytt plats på talen (vänster upp, höger ner) alltså en korsningsbyte, samt byter jag tecken i högerkorsning, alltså talet vänster ner och höger upp. Men i denna frågans facit, så hoppar läraren över det och skriver in det utan plats- och teckenbyte. Varför? 
Alltså menar jag att det egentligen ska ändras till 2 -1
0 1
Jag tror att du har rätt och att det är ett misstag av din lärare.