2
svar
86
visningar
Matteq behöver inte mer hjälp
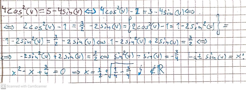
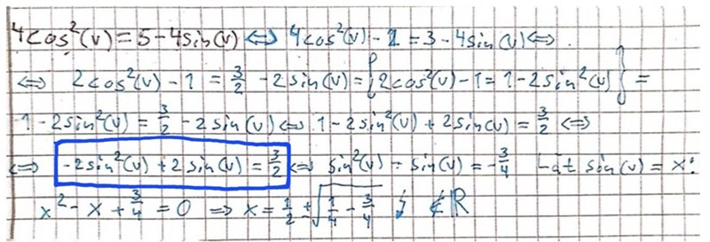
4cos^2(v)=5-4sin(v)
Hej jag vet inte vad jag gjort för fel i mina beräkningar. Tacksam för all hjälp! 
Vad hände här? Konstanten 1 försvann ftån VL:

Yngve skrev:Vad hände här? Konstanten 1 försvann ftån VL:
Tack! Löste det nu