5314, beräkna arean
Hej! Jag är van vid att lösa sånna här uppgifter när det är 2 funktioner, hur tänker man nu när det är 3?

Räkna ut arean på figuren som om y=1 inte fanns där, ta sedan och subtrahera arean som fås av bägge funktioner, y=1 och x-axeln.
Eller ta -1 på bägge funktioner. Anta att båda funktionerna trappar ner ett steg.
Hur ska jag göra det när jag inte vet vad den undre och övre gränsen är?
Om du tittar på området som är markerat.
Övre gränsen fram till x:värdet vid skärningspunkten för båda graferna är y=3x. Resten av biten är övre gränsen
andragradsgrafen. För att ta reda på vart dem skär varandra, sätt funktionerna lika med varandra.
Korra skrev:Om du tittar på området som är markerat.
Övre gränsen fram till x:värdet vid skärningspunkten för båda graferna är y=3x. Resten av biten är övre gränsenandragradsgrafen. För att ta reda på vart dem skär varandra, sätt funktionerna lika med varandra.
vaa nu är jag jätteförvirrad? det är väll inte den övre gränsen?
Om vi skippar integraler, hur hade du räknat ut arean på den här figuren?

Se bild.
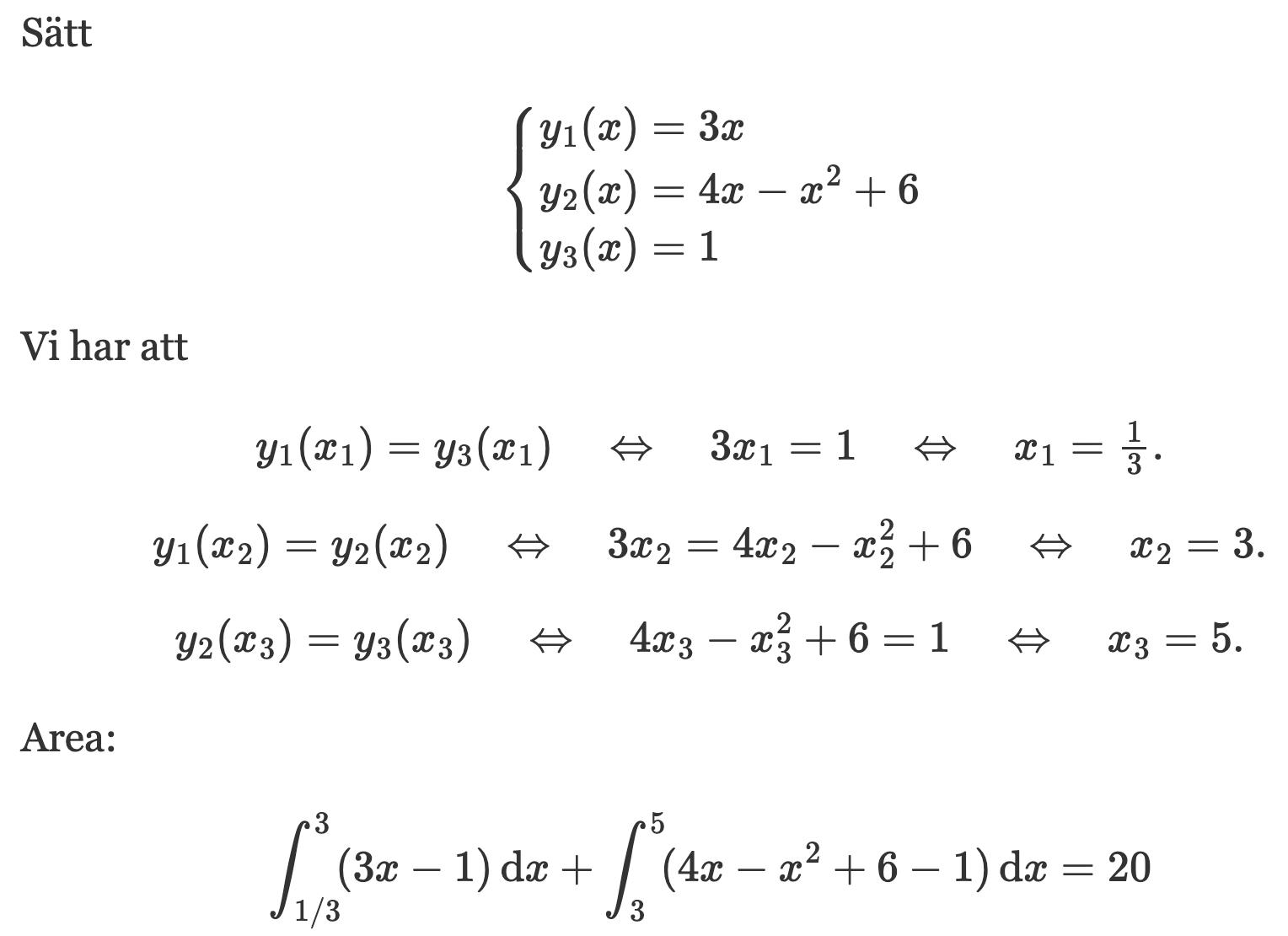
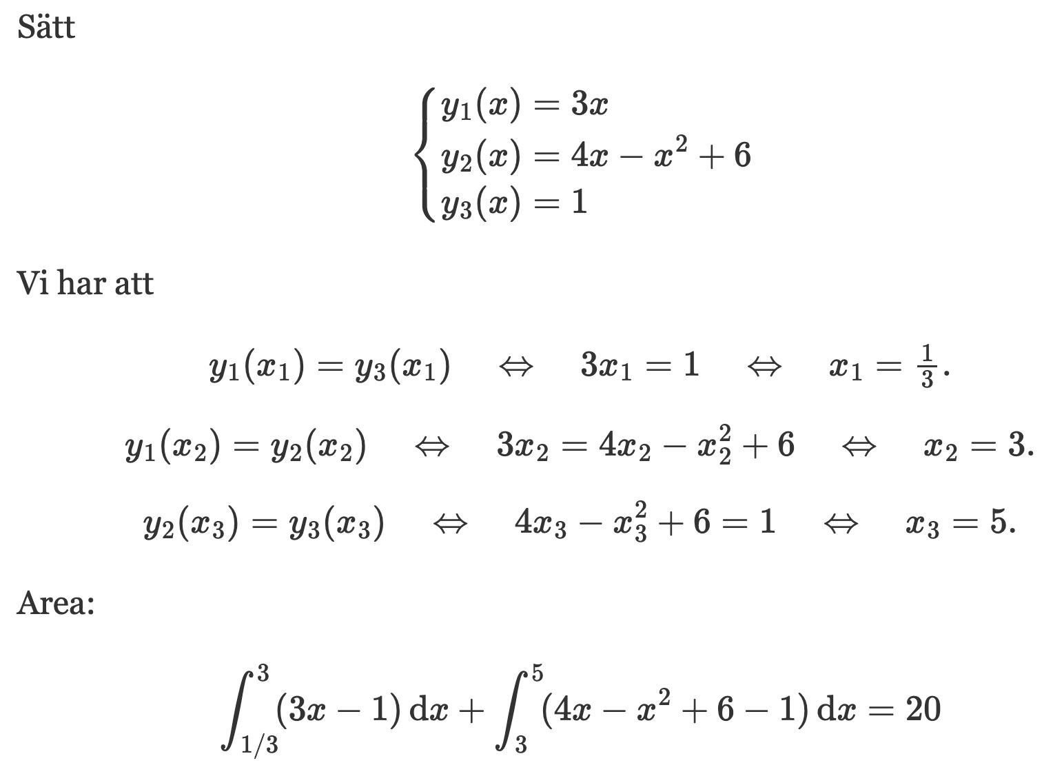
x1 ges av lösningen till ekvationen 3x = 1 eftersom det är där linjerna y = 3x och y = 1 möts.
x2 ges av en av lösningarna till 3x = 4x-x2+6 eftersom det är ett av de ställen där linjen y = 3x och parabeln y = 4x-x2+6 möta
x3 ges av en av lösningarna till 1 = 4x-x2+6 efrersom det är ert av de ställen där linjen y = 1 och parabeln y = 4x-x2+6 möts.

Micimacko skrev:Om vi skippar integraler, hur hade du räknat ut arean på den här figuren?
a(bc) -
Nu har jag försökt räkna ut arean (och ignorerar den delen under y=1) men jag får en negativ area?


https://mathb.in/78117
Ha en fin dag skrev:Nu har jag försökt räkna ut arean (och ignorerar den delen under y=1) men jag får en negativ area?
Du bör läsa detta avsnitt som beskriver hur man beräknar arean mellan två kurvor med hjälp av integraler.
Fråga sedan oss om allt du vill att vi förklarar närmare.
=======
För att lösa uppgiften bör du dela upp intervallet mellan x1 och x3 i två delar:
- Från x1 till x2 är y = 3x den övre funktionen och y = 1 den undre funktionen.
- Från x2 till x3 är y = 4x-x2+6 den övre funktionen och y = 1 den undre funktionen.
Yngve skrev:Ha en fin dag skrev:Nu har jag försökt räkna ut arean (och ignorerar den delen under y=1) men jag får en negativ area?
Du bör läsa detta avsnitt som beskriver hur man beräknar arean mellan två kurvor med hjälp av integraler.
Fråga sedan oss om allt du vill att vi förklarar närmare.
=======
För att lösa uppgiften bör du dela upp intervallet mellan x1 och x3 i två delar:
- Från x1 till x2 är y = 3x den övre funktionen och y = 1 den undre funktionen.
- Från x2 till x3 är y = 4x-x2+6 den övre funktionen och y = 1 den undre funktionen.
ahhhh! Jag löste dock länken du skickade, men förstod ändå inte varför det jag gjorde inte skulle stämma trots att jag läste ock förstod allt som skrevs
Trinity2 skrev:
https://mathb.in/78117
Tack!
Ha en fin dag skrev:.
ahhhh! Jag löste dock länken du skickade, men förstod ändå inte varför det jag gjorde inte skulle stämma trots att jag läste ock förstod allt som skrevs
Det du gjorde var att du beräknade A1 - A2 (se bild). Men det var inte detta som uppgiften gällde.

Yngve skrev:Se bild.
x1 ges av lösningen till ekvationen 3x = 1 eftersom det är där linjerna y = 3x och y = 1 möts.
x2 ges av en av lösningarna till 3x = 4x-x2+6 eftersom det är ett av de ställen där linjen y = 3x och parabeln y = 4x-x2+6 möta
x3 ges av en av lösningarna till 1 = 4x-x2+6 efrersom det är ert av de ställen där linjen y = 1 och parabeln y = 4x-x2+6 möts.
x2 ger ju två svar, man får ju att x är både 5 och x är -1, vad händer med -1? och vart kommer 3 ifrån?
ktzi skrev:
x2 ger ju två svar, man får ju att x är både 5 och x är -1, vad händer med -1?
Nej, x2 är lika med 3, eftersom det är x-koordinaten för den skärningspunkt mellan parabeln y = 4x-x2+6 och linjen y = 3x som ligger i första kvadranten. Den andra skärningspunkten ligger i tredje kvadranten (utanför bild) och är ointressant i sammanhanget.
och vart kommer 3 ifrån?
Se ovan.
====
Vi har alltså att x1 = 1/3, x2 = 3 och x3 = 5.
Yngve skrev:ktzi skrev:x2 ger ju två svar, man får ju att x är både 5 och x är -1, vad händer med -1?
Nej, x2 är lika med 3, eftersom det är den skärningspunkten mellan parabeln y = 4x-x2+6 och linjen y = 3x som ligger i första kvadranten. Den andra skärningspunkten ligger i tredje kvadranten (utanför bild) och är ointressant i sammanhanget.
och vart kommer 3 ifrån?
Se ovan.
====
Vi har alltså att x1 = 1/3, x2 = 3 och x3 = 5.
oj blandade ihop x2 och x3
men jag får att 4x-x2+6=1 är x1 = 5 och x2 = -1
så jag undrar verkligen varför det är just 5 som används och inte -1
oj blandade ihop x2 och x3
men jag får att 4x-x2+6=1 är x1 = 5 och x2 = -1
så jag undrar verkligen varför det är just 5 som används och inte -1
Det är för att kunna svara på den sortens frågor man skall rita upp en skiss.
ktzi skrev:oj blandade ihop x2 och x3
men jag får att 4x-x2+6=1 är x1 = 5 och x2 = -1
så jag undrar verkligen varför det är just 5 som används och inte -1
Lösningen x = -1 motsvarar den skärningspunkt som ligger i tredje kvadranten (utanför bild). Även denna är ointressant för uppgiften.
Om du endast löser de tre ekvationerna algebraiskt så får du fram 5 st. olika x-värden:

Vilka av dessa som är intressanta framgår av bilden som hör till uppgiften.
Om det inte finns någon sådan bild så håller jag med Smaragdalena att du bör skissa de tre graferna på egen hand
Använd då papper och penna alternativt något digitalt hjälpmedel som du får använda på proven.
