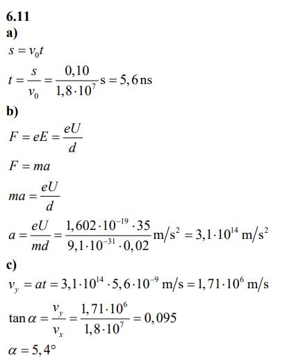
6.11 I en elektronstråle
Hej, jag förstår inte vad jag har gjort fel på c-uppgiften här. Jag förstår vad facit menar med att man kan använda hastigheterna för att få ut vinkeln, jag har även testat att göra det själv med hastigheten och fick då rätt vinkel.
Men det jag gjorde innan jag tittade på lösningsförslaget var att använda mig av sträckan för att få ut vilken. Men då får jag fel svar, vad är det jag gör fel?



som314 skrev:
att använda mig av sträckan för att få ut vilken. Men då får jag fel svar, vad är det jag gör fel?
Banan är inte en rät linje.
Jaha spelar det någon roll eller? Varför fungerar det med hastighet?
som314 skrev:Jaha spelar det någon roll eller? Varför fungerar det med hastighet?
Visst. Rita banans form. Och kolla var frågan är.
Jaha jag tänkte att eftersom jag bara räknade ut vinkeln så spelade det ingen roll. Den vinkeln man försöker räkna ut ligger alltså mellan s_y och s_x (som i det här fallet är böjt)? Tänker jag rätt?
som314 skrev:
Den vinkeln man försöker räkna ut ligger alltså mellan s_y och s_x (som i det här fallet är böjt)? Tänker jag rätt?
Ja. Mitt emellan. Det skulle du kunna se om du skulle rita.
Okej då är jag med, och skulle du också kunna förklara varför det då fungerar när man räknar med hastighet istället? Eftersom hastigheten ändras väl också i y-led då det finns en acceleration åt det hållet?
som314 skrev:Okej då är jag med, och skulle du också kunna förklara varför det då fungerar när man räknar med hastighet istället? Eftersom hastigheten ändras väl också i y-led då det finns en acceleration åt det hållet?
Hastigheten ökar linjärt (och proportionellt) med tid.![]()
https://commons.wikimedia.org/wiki/File:Free_fall.svg
Avståndet ökar paraboliskt. Och det är en geometrisk egenskap av en parabol att tangenten har dubbel så stor lutning. (Det är därför man har paraboliske speglar i strålkastare, osv).
Okej tack så mycket!
