2
svar
76
visningar
som314 behöver inte mer hjälp
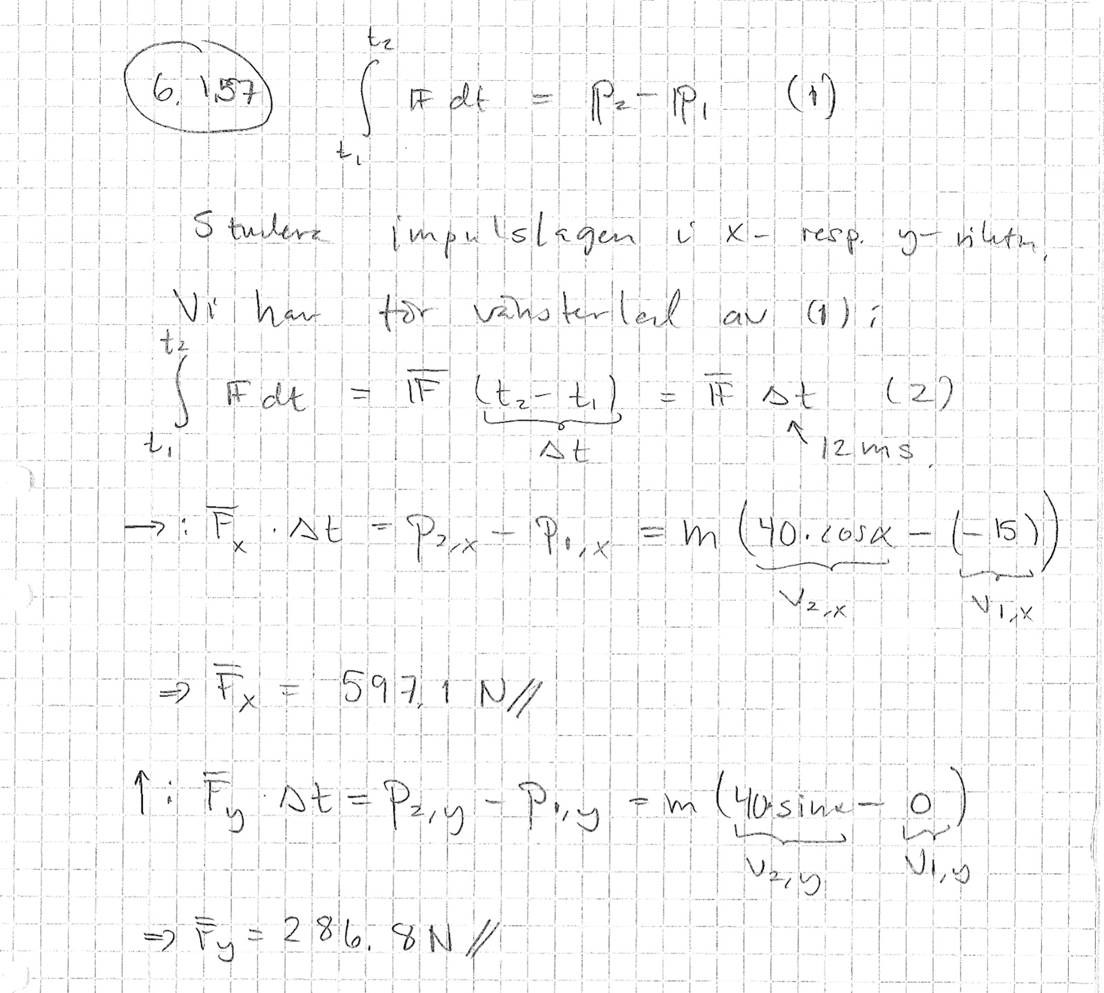
6.157 En basebollspelare träffar en boll (massa 150g) med ett slagträ.
Hej, jag undrar om jag gör något fel med min beräkning, jag gjorde precis som facit (bilden är från lärarens lösning) och sedan för att räkna ut totala kraften använde jag mig av Pythagorus sats, är det fel? Jag får cirka 662 N medan i facit står det 597 N.



I facit står kraften i vektorform vilket visar kraftens x- respektive y-komponent. Om man använder pythagoras sats för att lösa ut kraftens storlek så får man ungefär 662 N, vilket är vad du har fått.
Jaha oj ja det var jag som missuppfattade facit, trodde det var ett vanligt kommatecken. Tack för förklarningen!