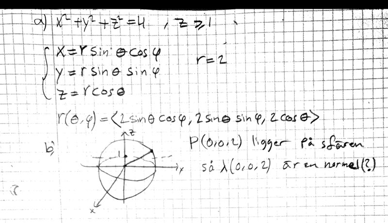
8.30 - Normalvektor
Låt vara den sfäriska kalotten ,
En normalvektor efter parametrisering är
Kan det stämma?
Finns också en normal (koefficienterna framför xyz).
Tänk dig en sfär med centrum i origo. I en punkt på sfären med orstvektor så är en normalvektor alltid parallell med ortsvektorn (rita). Dvs är en allmän normalvektor i punkten med ortsvektor på sfären. Så något verkar inte riktigt stämma i din uträkning.
PATENTERAMERA skrev:Tänk dig en sfär med centrum i origo. I en punkt på sfären med orstvektor så är en normalvektor alltid parallell med ortsvektorn (rita). Dvs är en allmän normalvektor i punkten med ortsvektor på sfären. Så något verkar inte riktigt stämma i din uträkning.
Men får man inte normalvektorn genom också?
Jo, men tänk på att z = .
PATENTERAMERA skrev:Jo, men tänk på att z = .
slarvfel :(. Tack!
Insåg att för att hitta en normal enligt tidigare beräkningar är lite för svårt, så jag började om och utgick från PATENTERAMERAs sätt. Men har jag tänkt rätt?


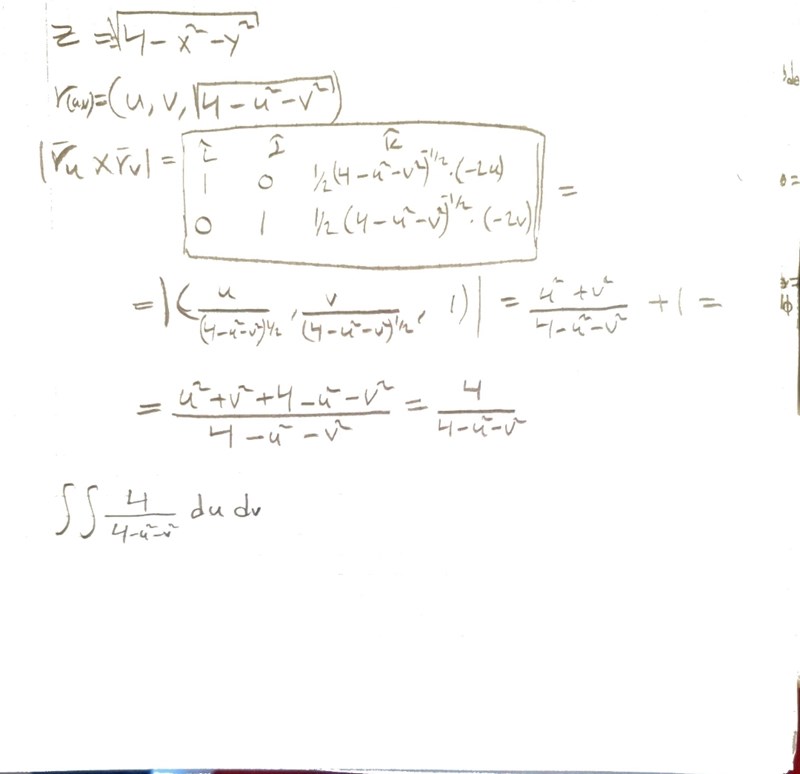
Jag tror att man vill ha ett uttryck för normalvektorn som funktion av de parametrar u, v du väljer att använda, inte bara normalvektorn i någon viss punkt.
Notera att man vill att du skall beräkna arean. Så om om du valt parametrar u och v så lönar det sig att beräkna , eftersom ett infinitesimalt ytelement dS ges av
dS = dudv.
Så? Isf vad blir gränserna?

Du har villkoret att z .
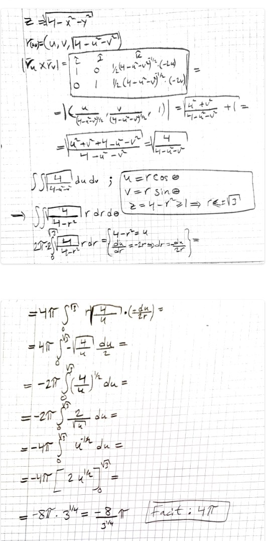
4 - (u2 + v2) 1. Vilket ger området u2 + v2 3. Kanske läge att införa polära koordinater i uv-planet.
Tänk på att |(a, b, c)| = (a2 + b2 + c2)1/2. Du verkar ha tappat bort ett rottecken någonstans.
Tack PATENTERAMERA. Jag har gjort som du skrev, men får fel svar till slut :(

Tillägg: 20 sep 2021 17:14
Det ska vara men fortfarande fel svar.
Du har kvar gränserna som gällde då du integrerade över r. Du behöver räkna ut nya gränser när du integrerar över u. Du borde få integral från 4 till 1, tror jag.
Kanske lite dumt att använda u för två olika saker i samma problem.
Tillägg: 20 sep 2021 19:29
Du verkar få in en extra faktor 2 någonstans också. Räkna om så blir det nog rätt.