90Sr sönderfall
FRÅGA: År 1990 byggdes en obemannad station i Alaska för att övervaka seismisk aktivitet. Stationens
strömförsörjning kommer från s.k. radioisotope thermoelectric generators som utnyttjar värmen
från betasönderfall av 90Sr för att generera likspänning. Halveringstiden för 90Sr är 28,8 år.
a) Beräkna Q-värdet för betasönderfallet 90Sr → 90Y + β− + ν̅e.
b) Stationen kräver åtminstone 53 W elektrisk effekt för att fungera. Antag att
verkningsgraden mellan värme och elektricitet är 6%. Hur stor mängd 90Sr behövs för att generera 53 W elektrisk effekt? Anta att värmen uppstår tack vare inbromsning av β-
partiklar och att dessas genomsnittliga energi uppgår till ca. 1/3 av sönderfallets Q-värde.
c) Man ville att stationen skulle vara strömförsedd fram till 2035. Hur stor mängd 90Sr fanns
på stationen när den byggdes?
d) Vilka partiklar bär med sig huvuddelen av kinetisk energi som frigörs i β-sönderfall? Går
det att använda denna energi?
5a) Har gjorts enligt följande:
m(kärna) = N * m(neutron) + Z * m(proton) - BE
Q = m(före) - m(efter)
Värdena för BE är tagna från Nudat där man får värdet per nuklid i keV, därav multiplicerat med antal nuklider och delar med 1000 för att få MeV.
m(före) = 38*938,3 + 52*939,3 - (90*8695,972)/1000 = 83716.36252
m(efter)= 39*938,3 + 51*939,3 - (90*8693.345 )/1000 + 0,511 = 83716.10995
Q = 0.25257 MeV
Vilket är väldigt lite, stämmer detta?
För fråga b) skulle jag behöva lite hjälp med hur jag ska börja samt vad som menas med verkningsgrad på 6% mellan värme och el, aldrig sett det skrivet så förr, vad betyder det?
För fråga a), se inlägg #6 i denna tråden för metod
men använda uppmätt massa för denna uppgiftens isotoper.
För fråga b), 6% verkningsgrad betyder i detta fall att för varje 100W värme som alstras utvinns endast 6W som elektricitet.
Okej. Om jag försöker mig på att lösa detta tänker jag att:
E(nyttig) = 53 W, n = 0.06:
E(tot) = E(nyttig)/ n = 53/0.06 = 883.33 W behöver produceras för att vi ska få 53 W el.
Eftersom bara 1/3 av B-sönderfallets Q-värde går till värme så behöver energin från sönderfallet vara:
Q1 = 883.33 * 3 = 2650 W = 2650 J/s = ((( 2650 / (1.602176634 * 10^-19) omvanling från J till eV ))) = 1.653999* 10^22 eV/s = 1.653999* 10^19 MeV/s
Sen fastnar jag lite, hur får man bort sekunder? Eller har jag kanske tänkt fel i min omvanling.
Antar sedan att man räknar:
Q2 = m(före)-m(efter) = m(Sr-90) - m(Y-90) = 84514,6 - 84513,3 = 1,3 MeV
Och att detta Q2 skall stämma överens med Q2 genom Q1 = Q2 * x, där x anger hur många sådana här reaktioner som måste ske för att få Q1. Sedan får man klura ut hur mycket massa av ämnet som krävs för att få så många reaktioner.
Vi använder inte enheten Dalton i kursen. Vi använder antingen kursboken (som ger oss enheten u) eller denna hemsida som lärarna hänvisar till: https://www.nndc.bnl.gov/nudat3/chartNuc.jsp
Men massan fås väl av N*mn + Z*mp så som du redovisade i min förra fråga som "summerad massa = (antal protoner)*(protonmassan) + (antal neutroner)*(neutronmassan)"
I så fall blir ju m(Sr-90) = 38*938,6 + 52*939,3 = 84510.4 MeV
Eftersom Sr-90 har Z=38 (antal protoner), N=52 (antal neutroner), m(neutron) = 393,3 MeV, m(proton) = 938,6 MeV.
Oavsett, har jag tänkt rätt efter detta? Har svårt att förstå hur jag ska fortsätta.
EllaBella527 skrev:Vi använder inte enheten Dalton i kursen. Vi använder antingen kursboken (som ger oss enheten u) eller denna hemsida som lärarna hänvisar till: https://www.nndc.bnl.gov/nudat3/chartNuc.jsp
Oavsett, har jag tänkt rätt efter detta? Har svårt att förstå hur jag ska fortsätta.
Skaffa en tabellbok för svenskt gymnasium där du snabbt kan slå upp nuklidmassor.
(Den här typen av uppgifter är tyvärr lite av en svensk specialitet i gymnasiefysiken. Jag lyckas inte hitta en tabell med endast atommassor på nätet, det är den uppgiften som du behöver för att räkna den här uppgiften. Sajten som dina lärare hänvisar till innehåller mycket mer information som det är svårt att sålla i.)
Mina instruktioner är att använda denna hemsida och de använder enbart enheterna u och eV när de räknar på föreläsningarna, därav kommer jag inte att gå utanför dessa enheter.
Istället för att tipsa om sådant jag inte ber om skulle jag verkligen uppskatta om någon vill hjälpa mig att lösa uppgiften i sin helhet:) Samt att isf tipsa om ställen som använder dessa enheter snarare än andra enheter.
EllaBella527 skrev:Mina instruktioner är att använda denna hemsida och de använder enbart enheterna u och eV när de räknar på föreläsningarna, därav kommer jag inte att gå utanför dessa enheter.
Då får du väl lära dig använda den där sidan.
Jag har skrivit tidigare att du behöver slå upp nuklidmassor eftersom det är den metoden som används i svenskt gymnasium.
För 90Sr är den 89,907738 u enligt Physics Handbook av Nordling & Österman.
Om man har andra typer av tabeller kan man behöva andra metoder att räkna.
Enheten dalton används av kemister men en Da är exakt samma sak som u eller amu (atomic mass unit).
EllaBella527 skrev:Vi använder inte enheten Dalton i kursen. Vi använder antingen kursboken (som ger oss enheten u) eller denna hemsida som lärarna hänvisar till: https://www.nndc.bnl.gov/nudat3/chartNuc.jsp
Men massan fås väl av N*mn + Z*mp så som du redovisade i min förra fråga som "summerad massa = (antal protoner)*(protonmassan) + (antal neutroner)*(neutronmassan)"
I så fall blir ju m(Sr-90) = 38*938,6 + 52*939,3 = 84510.4 MeV
Eftersom Sr-90 har Z=38 (antal protoner), N=52 (antal neutroner), m(neutron) = 393,3 MeV, m(proton) = 938,6 MeV.
Oavsett, har jag tänkt rätt efter detta? Har svårt att förstå hur jag ska fortsätta.
Nej du har inte tänkt rätt.
Om du skall använda den sidan så måste du använda det som där betecknas
Detta är skillnaden mellan isotopens uppmätta massa och atommassenheter där är isotopens masstal.
För Sr-90 är och
Därmed är massan
Det är inte sidan jag har problem med utan det är formeln som jag har ställt flera frågor kring. Värdena jag tar från sidan är rätt men jag vet inte vilka värden jag ska plocka och lägga in i formeln.
Jag använder inte det som står under ∆(MeV) utan det som står under BE/A (keV) pga tydliga instruktioner från lärare. Detta är bindningenergin per neutron/proton och den skall därmed multipliceras med antal masstalet i kärnan som de visat på föreläsningar.
Finns det någon som kan svara på själva huvudfrågan som ställdes ursprungligen kring resten av uppgiften? Har vänt mig till min lärare angående Q värdet istället då det är lättare för hen att fatta frågorna då hen räknar med samma siffror och enhter etc som jag.
För ni intresserade som insisterar med att använda andra forum för att få siffrorna fick jag snabbt svar från läraren att det som gäller är:
N*mn + Z*mp - BE
Där mn = 939,565 Mev, mp = 938,277 Mev och N och Z hittas via länken jag använder (Nudat) för varje ämne. BE ges av ta BE/A (keV) värdet från Nudat * masstalet för ämnet.
Man räknar alltid med protonens, neutronen och elektronens massa om det finns sådana i ekvationen men inte antineutrinon eller nutrinon ty liten massa.
Och det var som sagt det som var frågan från början i den andra tråden: Vad ingår i ekvationen?
EllaBella527 skrev:m(före) = 38*938,3 + 52*939,3 - (90*8695,972)/1000 = 83716.36252
m(efter)= 39*938,3 + 51*939,3 - (90*8693.345 )/1000 + 0,511 = 83716.10995
Jag har stirrat länge på den här uträkningen för att försöka förstå
varför den inte matchar tabellvärdena för isotopens massa.
Den första delen av svaret gav du själv i inlägg #12 där du skrev att
neutronens massa är 939.565 istället för 939.3 som i din första beräkning.
Den andra delen kom jag till slut fram till har att göra med atomernas elektroner.
Tabellvärdena anger alltid massan för neutrala atomer.
För att få tabellvärdena på isotoperna måste därför även rätt antal elektronmassor läggas till.
Antalet elektroner är 38 i en neutral 90Sr och 39 i en neutral 90Y.
MEN det som uppstår i beta-sönderfallet är egentligen inte en neutral 90Y atom
utan en positiv 90Y+ jon. Och den har också 38 elektroner.
De 38 elektronmassorna på båda sidorna av ekvationen tar ut varandra
vilket gör beräkningen av Q densamma oavsett om man beräknar isotopernas massa
med eller utan elektronerna.
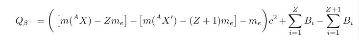
Ett negativt betasönderfall kan uttryckas som
I tabellverk brukar man ange neutral atommassa () istället för den nukleära massan (). För att konvertera mellan koncepten kan man använda formeln
Där är bindningsenergin för elektron . Det innebär att kan uttryckas som

Vi ser att elektronmassorna tar ut varandra. Om vi struntar i skillnaden i bindningsenergin för elektronerna kan vi notera att
För uppgiften slår vi upp tabellvärden enligt
Alltså
jarenfoa skrev:
Tabellvärdena anger alltid massan för neutrala atomer.
Så är det i svenska nuklidtabeller för skolbruk men så är det inte alltid.
Den här frågeställaren hade fått andra instruktioner, ska använda tabeller där nuklidens massa inte är med.
Det kan vara värt att nämna att man, när man väl lokaliserat , faktiskt kan trycka på -knappen direkt för att få det efterfrågade Q-värdet för negativt betasönderfall från Nudat.

Tusen tack, det är ju bra att veta;)