a+ bi
Jag kommer inte vidare och det känns som att något är fel. Vad kan jag göra nu?
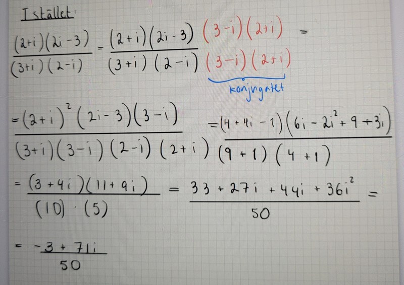
Normal då man förlänger med konjugatet gör man detta för att få nämnaren reell, så att man slipper dividera med komplexa tal vilket gör uträkningarna oerhört mycket svårare.
Vad jag kan se förlängde du med konjugatet och omedelbart därefter så strök du faktorerna som var gemensamma för täljare och nämnare, dvs. tog bort förlängningen som du precis lagt till.
Det du ska göra efter förlängningen är att multiplicera samman parenteserna så att de blir reella. Så räkna ut vad (3+i)*(3-i) blir, respektive vad (2-i)*(2+i) blir. Sen kan du även räkna ut multiplikationerna i täljaren.
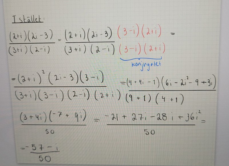
Alternativt kan du gå direkt på din sista ekvation och förlänga denna med nämnarens konjugat, för att göra denna reell.
Blev inte helt rätt. 
(2i-3)(3-i)= (6i-2i2-9+3i)
Du råkade få ett plustecken framför 9:an.
Det stämmer fortfarande inte. Det ska bli (-57-1)/50
Nu blir det rätt :)