5
svar
90
visningar
Emmeli.salomons behöver inte mer hjälp
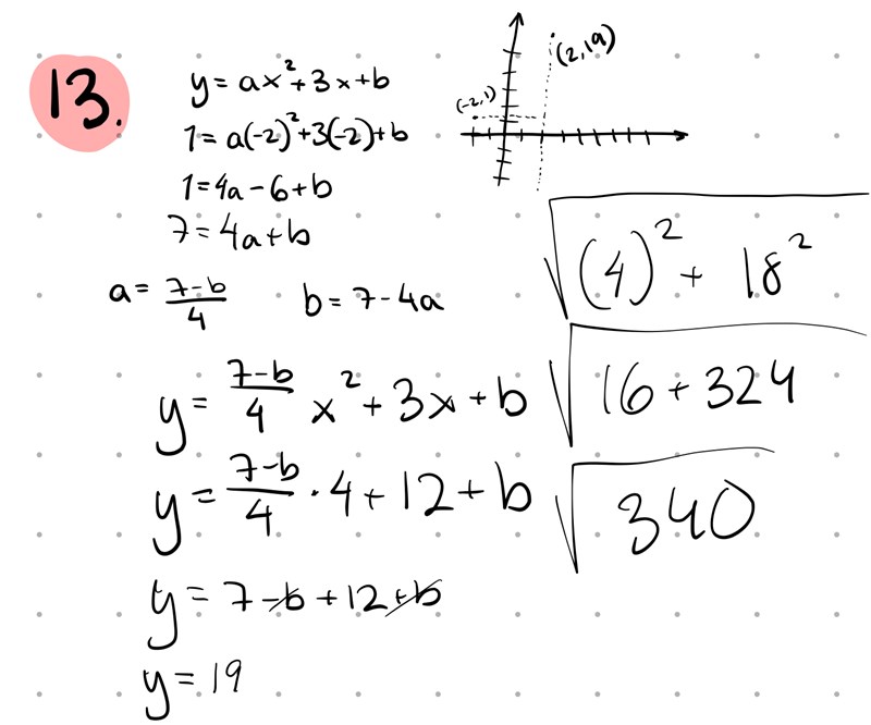
A-fråga avstånd mellan punkter

Hej! Hur tänker jag här?
har kommit fram till att &
sen stoppade jag in det i formeln igen och fick att a=19.
avståndsformeln gav mig därefter att avståndet mellan punkterna var
känns inte rätt... tror det gick fel efter att jag stoppade in a och b i formeln
Ditt tillvägagångssätt är bra men det stämmer att det inte har blivit riktigt rätt i uträkningarna.
Visa hur du räknade så kan vi hjälpa dig att hitta felet.
så är det
för att få fram sträckan mellan punkterna?
Ja det stämmer. Avståndet kan även skrivas som .

