4
svar
151
visningar
Emmeli.salomons behöver inte mer hjälp
A-fråga: imaginära rötter till funktion

Hej!
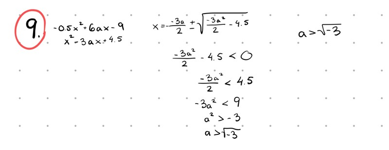
Hur ska man tänka här? Detta är en bild från uppgiften jag fick fel och när jag senare gjorde om den så löste jag den såhär men fel igen! Vad gör jag som inte stämmer?

När du förkortar -0.5 från x^2 termen blir det fel. Vad blir och ?
Konstig formulering av uppgiften: en Funktion har inga rötter vilket däremot en Ekvation har.
Jaha!

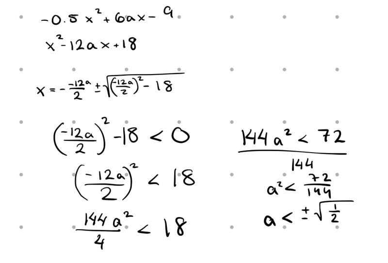
Nu fick jag det här.
hur tänker jag med svaret?
varför kan inte det vara samma som a< - ? Om a ska vara mindre än
Du får diskriminanten som kan förenklas till . Diskriminanten är mindre än 0 om 36a2 < 18, d v s . Rita!