4 svar
235 visningar
TheRizzler 1
Postad: 10 maj 2023 23:38

A fråga på Geometri

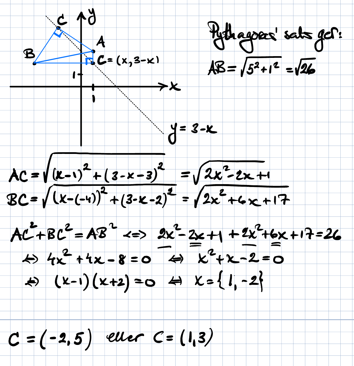
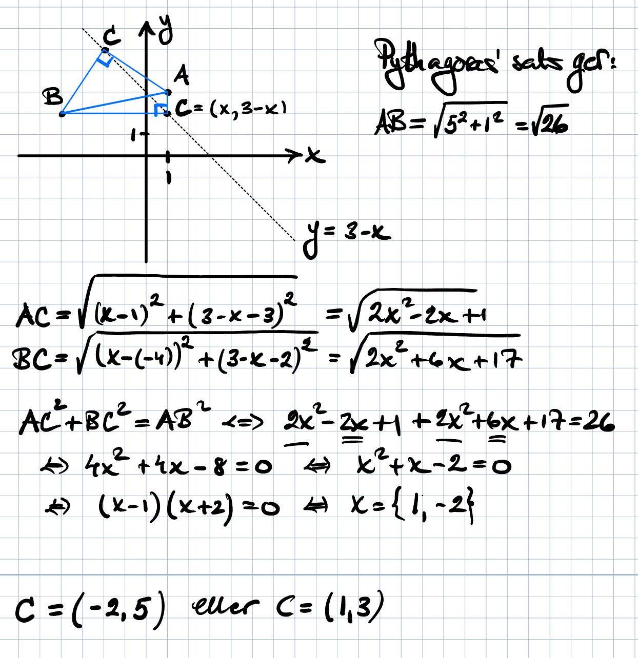
I den rätvinkliga triangeln ABC ligger hypotenusans ändpunkter i A = (1, 3) och i B = (-4, 2). Bestäm vart hörnet C ska finnas om det ligger på linjen y= 3-x?  

Skulle uppskattat hjälp, tack!  

Dr. G 9667
Postad: 10 maj 2023 23:51

I en rätvinklig triangel gäller Pythagoras sats. 

Du har koordinaterna för två av hörnen. Det tredje ligger på linjen y = 3 - x i en punkt du kan kalla (a, 3 - a). 

Pythagoras sats ger a. 


Tillägg: 11 maj 2023 20:27

Annars kan du använda att produkten av k-värdena för linjen AC och linjen BC ska bli -1.

Det ena k-värdet är

kAC=3-(3-a)1-ak_{AC}= \dfrac{3-(3-a)}{1-a}

John72 2
Postad: 7 apr 2025 16:29
Dr. G skrev:

I en rätvinklig triangel gäller Pythagoras sats. 

Du har koordinaterna för två av hörnen. Det tredje ligger på linjen y = 3 - x i en punkt du kan kalla (a, 3 - a). 

Pythagoras sats ger a. 


Tillägg: 11 maj 2023 20:27

Annars kan du använda att produkten av k-värdena för linjen AC och linjen BC ska bli -1.

Det ena k-värdet är

kAC=3-(3-a)1-ak_{AC}= \dfrac{3-(3-a)}{1-a}

kan du föklara vidare?

Trinity2 4365
Postad: 7 apr 2025 19:05

Lösningsförslag

Visa spoiler

John72 2
Postad: 7 apr 2025 20:48
Trinity2 skrev:

Lösningsförslag

Visa spoiler

Tack så mycket!

Svara
Close