a^n-b^n
Hej! Jag har fastnat på denna uppgiften

jag har räknat så här långt och vet inte hur jag ska fortsätta
hur får jag det sista uttrycket att se lik ut till a^p-b^p
Från induktionsantagandet 
kan du lösa ut . Sätt in detta i och du kommer att kunna bryta ut först och därefter .
Visa spoiler

Vad är det för regel som gör att du kan göra så här

VI kan alltid addera 0.
Nej, det jag undrar är varför du adderar ab^p-bb^p jag undrar hur du kom fram till den resonemangen
R.zz skrev:Nej, det jag undrar är varför du adderar ab^p-bb^p jag undrar hur du kom fram till den resonemangen
Det är bara ett trick för att få termer som går bra att kombinera med de andra.
Hur kan man t.ex. dela upp x/(x-1) i två termer?
x/(x-1) = (x-1+1)/(x-1) = (x-1)/(x-1) + 1/(x-1) = 1 + 1/(x-1)
Något som man t.ex. använder sig av inom integration.
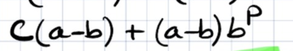
vad gör du exakt där jag har markerat med grönt
Hur går p^2 bort ?
Här

bryter jag ut (a-b) och får
![]()
p^2 ser jag inte.