5
svar
100
visningar
Ingenting.
Fortsätt!
Mariam1999 skrev :
A
Du gör inte fel.
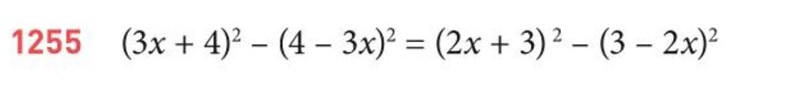
Din förenklade ekvation lyder 2x = x.
Subtrahera nu x från båda sidor:
2x - x = 0
Bryt ut den gemensamma faktorn x i vänsterledet:
x*(2 - 1) = 0
x*1 = 0
x = 0
Yngve skrev :Mariam1999 skrev :
A
Du gör inte fel.
Din förenklade ekvation lyder 2x = x.
Subtrahera nu x från båda sidor:
2x - x = 0
Bryt ut den gemensamma faktorn x i vänsterledet:
x*(2 - 1) = 0
x*1 = 0
x = 0
Jaha men kan jag inte bara ta 2x- x = 0
x= 0
Mariam1999 skrev :Jaha men kan jag inte bara ta 2x- x = 0
x= 0
Jovisst. Men varför göra det lätt, när man kan krångla till det en smula? 😉
Alternativ lösning med konjugatregeln:
