2
svar
214
visningar
Inkognito behöver inte mer hjälp
Abc-formeln
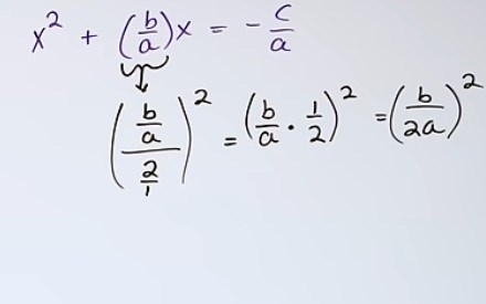
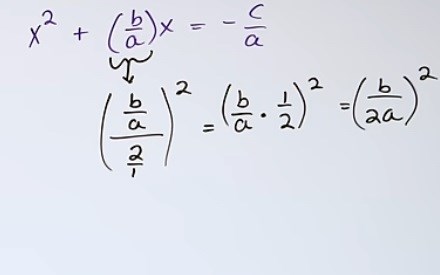
Varför måste man upphöja till två (b/a)?
Här är ursprungliga ekvationen
ax2+ bx2 + c = 0
Jag tolkar det som en kvadratkonplettering.

Det stämmer, syftet är att kvadratkomplettera. Man får att det är som behöver läggas till för att VL ska bilda kvadraten .
Man tänker sig att man har , och bestämmer genom att .
Tack för förklaringen!
Ska försätta lösa klart.